Fig. 16

Download original image
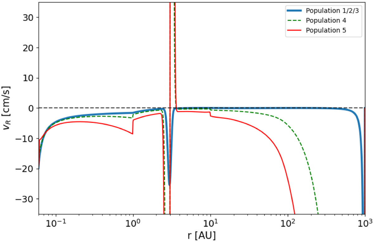
Radial velocity of the dust species in the post-infall phase. The micrometer-sized particles, populations 1–3, are well coupled to the gas and experience very little radial drift in the outer disk. They are not caught in the pressure bump, but simply drift through the gap into the inner disk. The larger populations 4 and 5 have higher radial drift velocities, but cannot easily pass the planet gap.
Current usage metrics show cumulative count of Article Views (full-text article views including HTML views, PDF and ePub downloads, according to the available data) and Abstracts Views on Vision4Press platform.
Data correspond to usage on the plateform after 2015. The current usage metrics is available 48-96 hours after online publication and is updated daily on week days.
Initial download of the metrics may take a while.