Fig. 18

Download original image
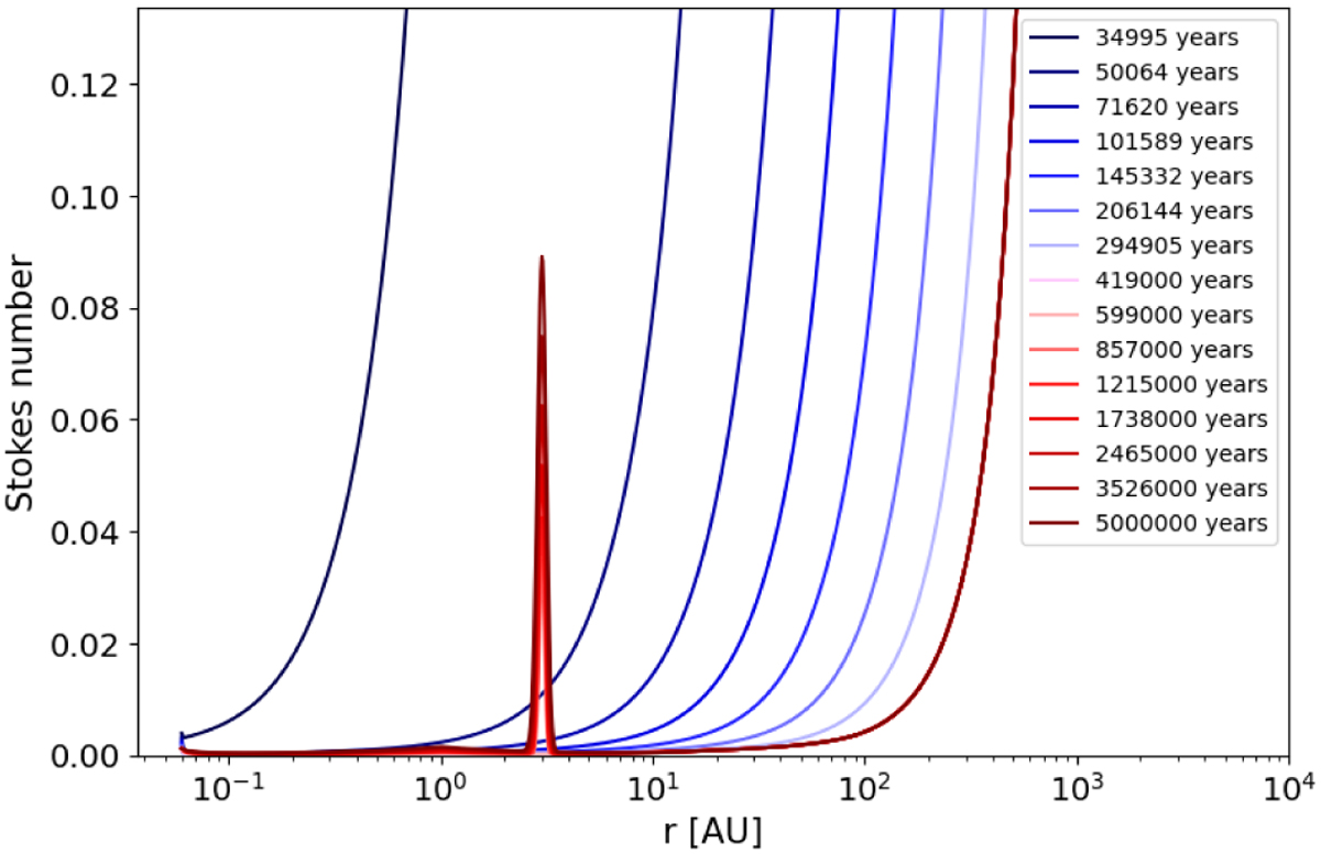
Stokes number of CAIs, a dimensionless coupling constant that indicates how well the dust grains are coupled to the gas. Lower values of the Stokes number imply better coupling to the gas and a shorter stopping time τstop, which evens out velocity differences between the dust and gas. For a Stokes number that is zero, the radial drift velocity of the gas υd equals the radial velocity of the gas itself υR, as shown by Eq. (25).
Current usage metrics show cumulative count of Article Views (full-text article views including HTML views, PDF and ePub downloads, according to the available data) and Abstracts Views on Vision4Press platform.
Data correspond to usage on the plateform after 2015. The current usage metrics is available 48-96 hours after online publication and is updated daily on week days.
Initial download of the metrics may take a while.