Open Access
Fig. 21

Download original image
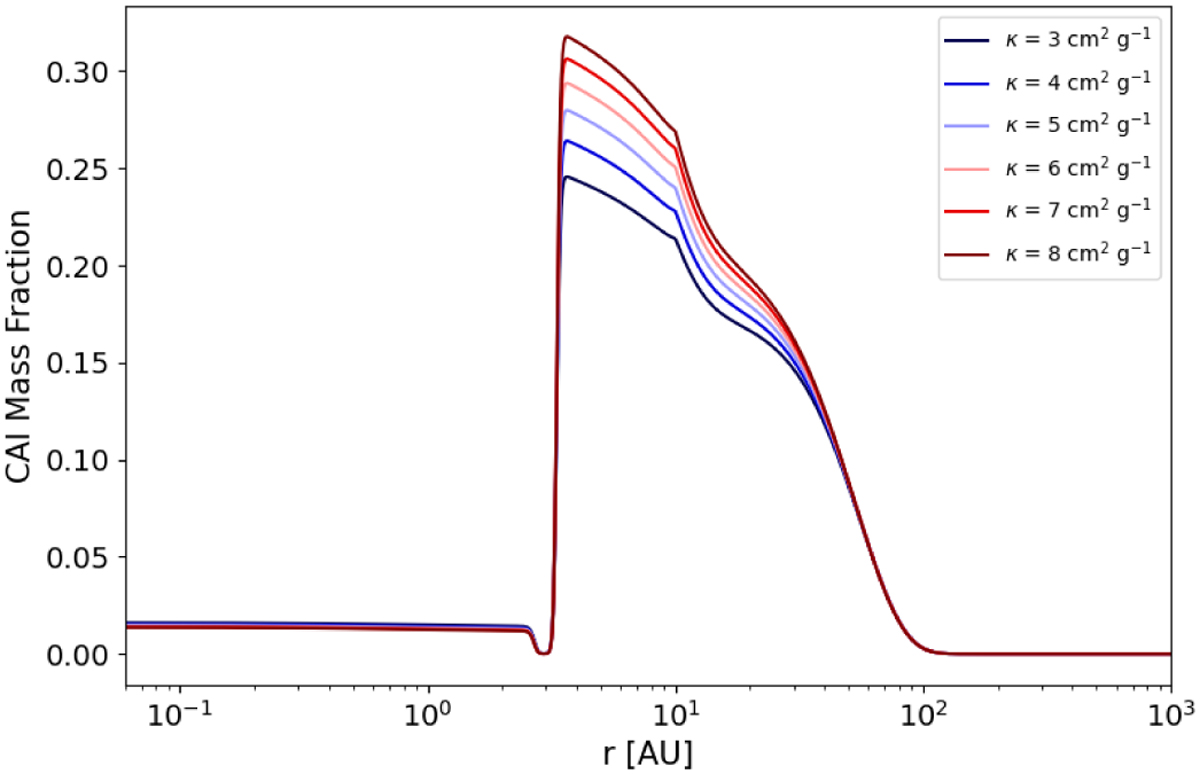
Abundances after 5 Myr for different values of the disk opacity κ. Higher opacities trap more heat in the disk, increasing the temperature and thereby enlarging the radial extent of the CAI Factory. This creates more CAIs and increases their abundance in the pressure bump.
Current usage metrics show cumulative count of Article Views (full-text article views including HTML views, PDF and ePub downloads, according to the available data) and Abstracts Views on Vision4Press platform.
Data correspond to usage on the plateform after 2015. The current usage metrics is available 48-96 hours after online publication and is updated daily on week days.
Initial download of the metrics may take a while.