Open Access
Fig. 22

Download original image
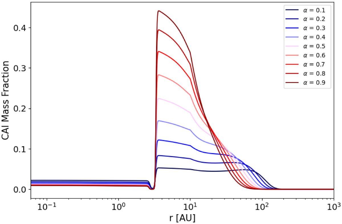
Abundances after 5 Myr for different values of the α-parameter during the infall phase. Higher values increase the peak abundance, likely due to more efficient outward mass redistribution.
Current usage metrics show cumulative count of Article Views (full-text article views including HTML views, PDF and ePub downloads, according to the available data) and Abstracts Views on Vision4Press platform.
Data correspond to usage on the plateform after 2015. The current usage metrics is available 48-96 hours after online publication and is updated daily on week days.
Initial download of the metrics may take a while.