Open Access
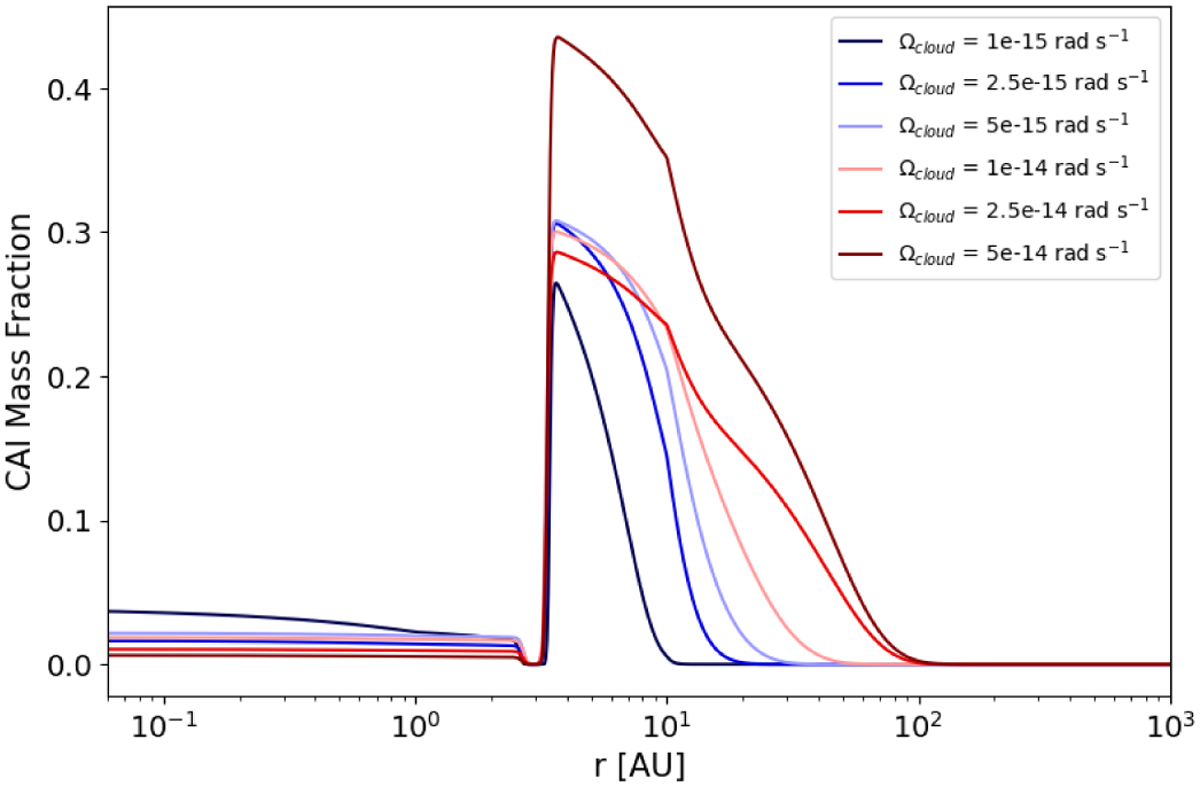
Fig. 23

Download original image
Abundances after 5 Myr for different values of the cloud rotation rate Ωc. The abundance peak grows taller and wider for increasing values of Ωc, as more material ends up in the disk instead of directly accreting onto the Sun, also increasing the efficiency of the CAI Factory.
Current usage metrics show cumulative count of Article Views (full-text article views including HTML views, PDF and ePub downloads, according to the available data) and Abstracts Views on Vision4Press platform.
Data correspond to usage on the plateform after 2015. The current usage metrics is available 48-96 hours after online publication and is updated daily on week days.
Initial download of the metrics may take a while.