Fig. 24

Download original image
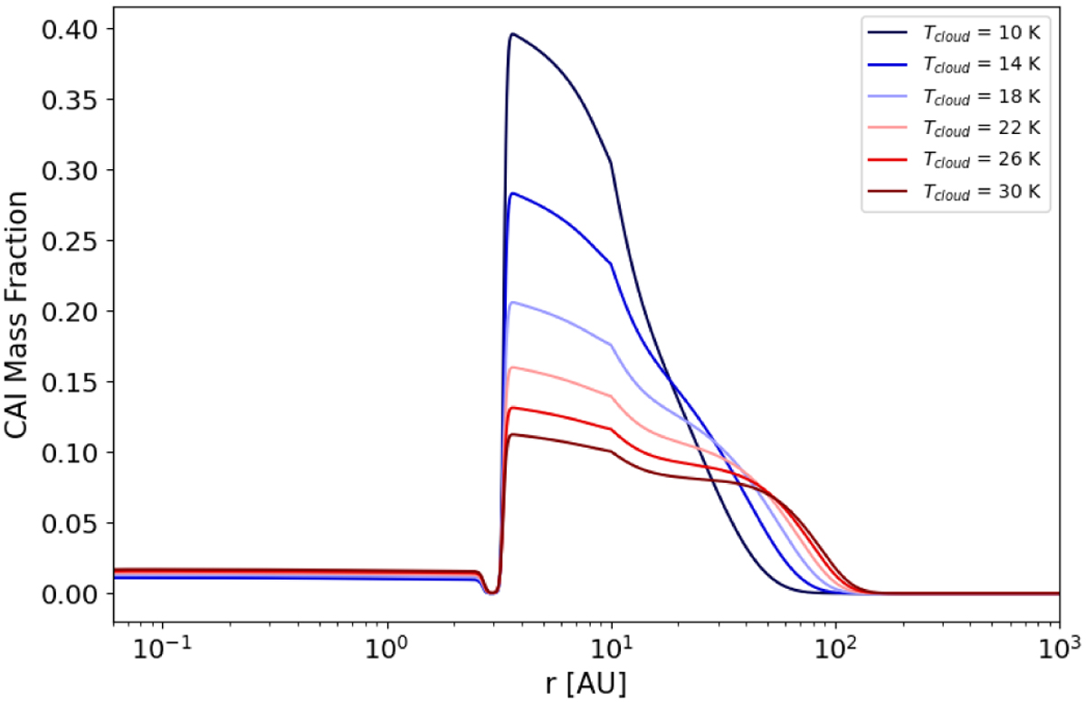
Abundances after 5 Myr for different values of the molecular cloud temperature Tc. Higher temperatures decrease the duration of the infall phase. While this causes higher surface densities in the inner disk early on, increasing the efficiency of the CAI Factory, it also causes stronger outward transport of CAIs, spreading them further out over the disk.
Current usage metrics show cumulative count of Article Views (full-text article views including HTML views, PDF and ePub downloads, according to the available data) and Abstracts Views on Vision4Press platform.
Data correspond to usage on the plateform after 2015. The current usage metrics is available 48-96 hours after online publication and is updated daily on week days.
Initial download of the metrics may take a while.