Open Access
Fig. 29

Download original image
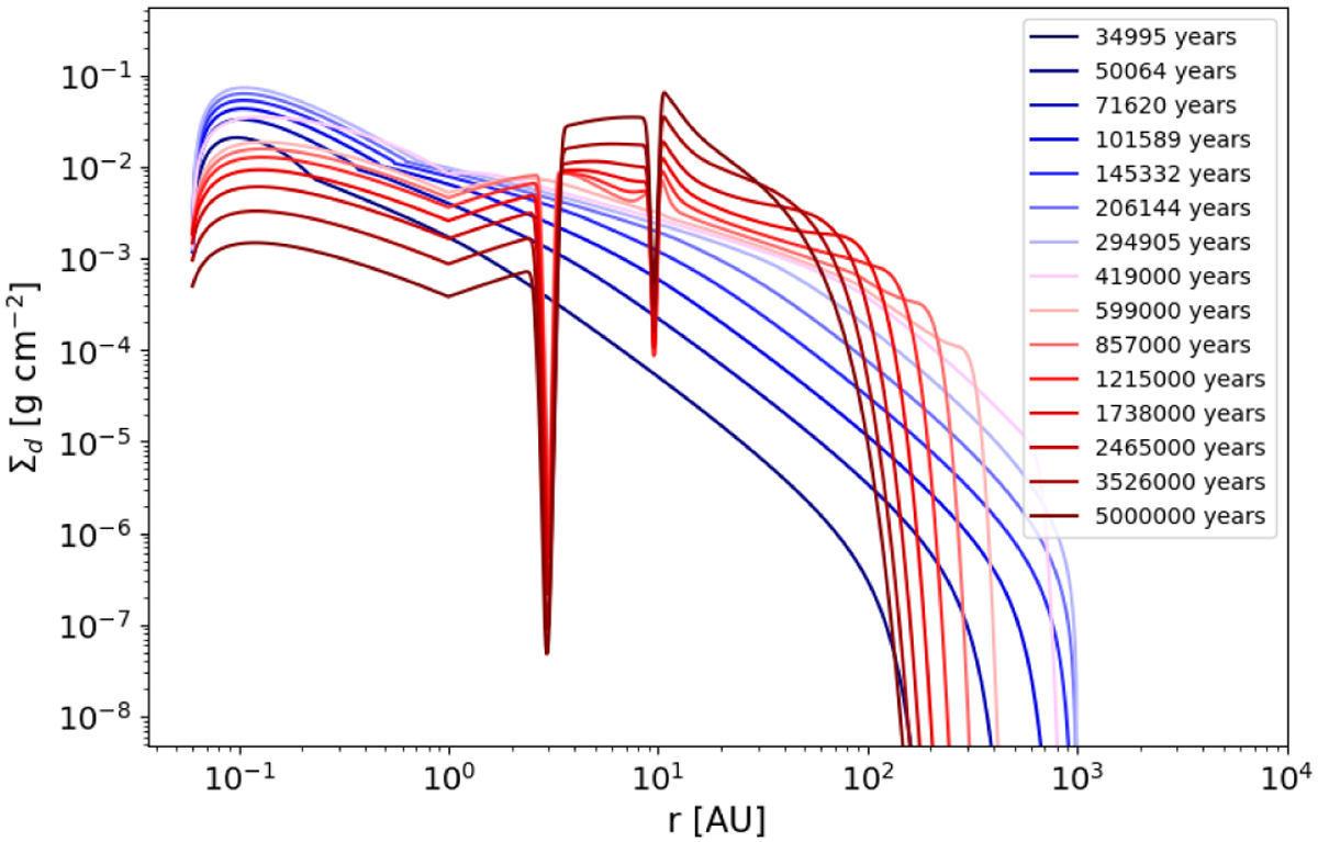
CAI surface density when Saturn is included into the model. While CAIs are piling up in Saturn’s pressure maximum around 10 AU, some part of the CAIs is still leaking through this gap, as the surface density also keeps increasing in the region in between the two planets.
Current usage metrics show cumulative count of Article Views (full-text article views including HTML views, PDF and ePub downloads, according to the available data) and Abstracts Views on Vision4Press platform.
Data correspond to usage on the plateform after 2015. The current usage metrics is available 48-96 hours after online publication and is updated daily on week days.
Initial download of the metrics may take a while.