Open Access
Fig. 3

Download original image
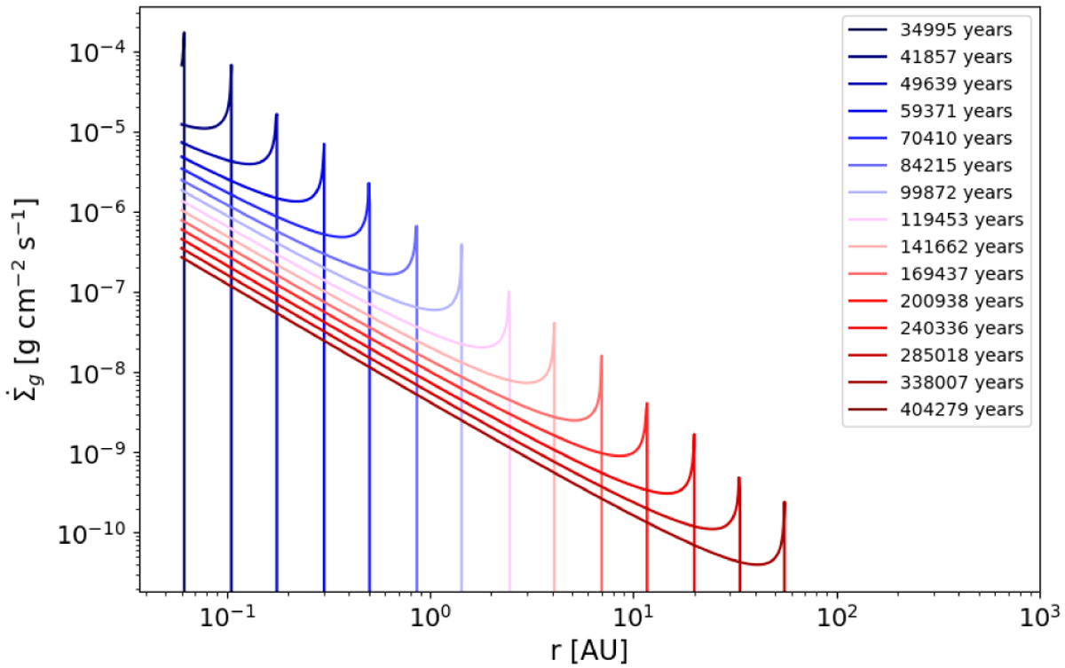
Infall rate of gas from the molecular cloud core onto the disk. As time passes, the centrifugal radius rc increases and infalling matter is added to greater and greater radii in the disk, while the total accretion rate
remains constant. At the end of infall, the centrifugal radius has reached 93.9 AU.
Current usage metrics show cumulative count of Article Views (full-text article views including HTML views, PDF and ePub downloads, according to the available data) and Abstracts Views on Vision4Press platform.
Data correspond to usage on the plateform after 2015. The current usage metrics is available 48-96 hours after online publication and is updated daily on week days.
Initial download of the metrics may take a while.