Fig. 32

Download original image
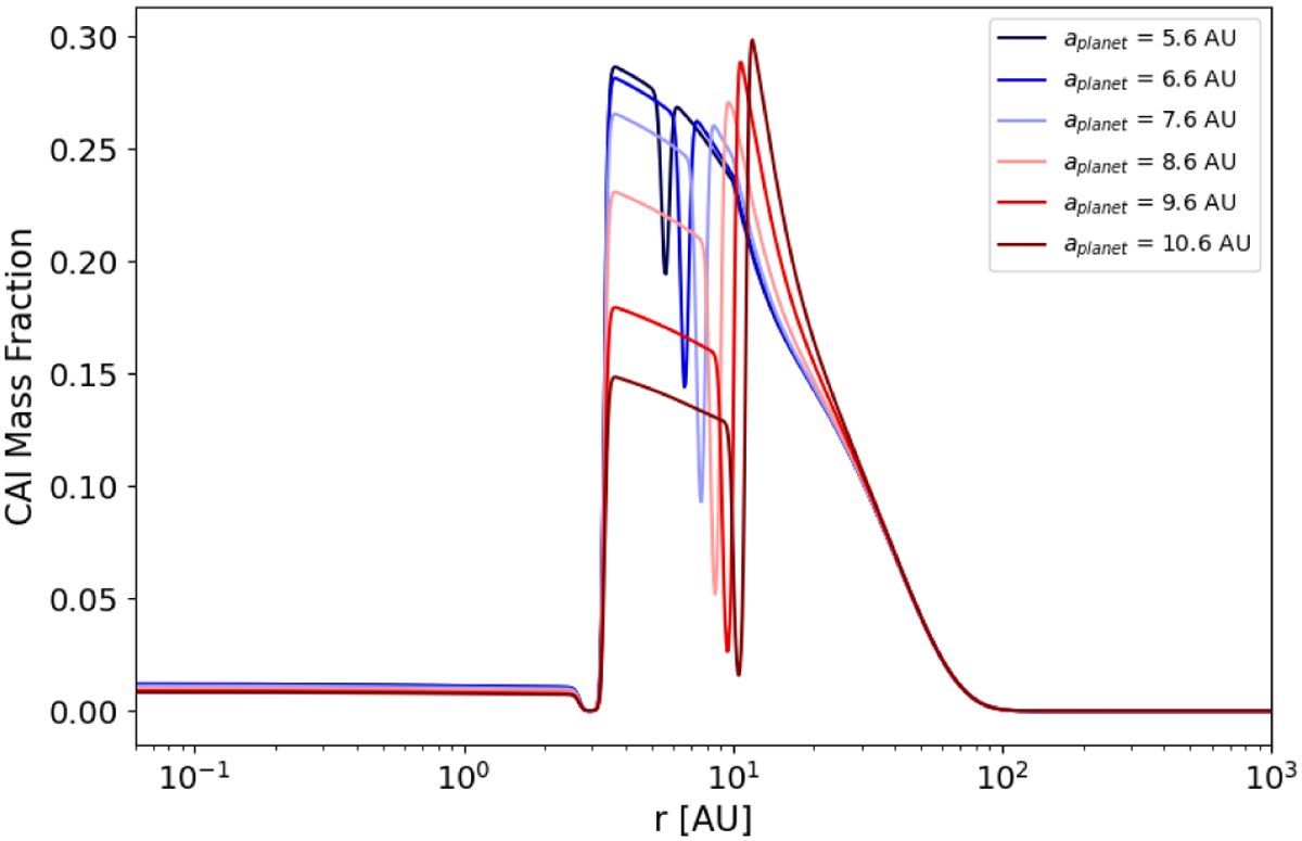
Final CAI abundance profile after 5 Myr with variations of Saturn’s location of formation aplanet. The planet’s Hill radius shrinks when it moves in towards smaller heliocentric distances, reducing the width of the resulting planet gap. It then becomes easier for turbulent motions in the gas to propel CAIs through the gap into the region between Jupiter and Saturn. If Saturn formed at 5.6 AU (at least for the fixed value of αpeak = 10−4), it fails in trapping many CAIs at all, and the result greatly resembles the one-planet case.
Current usage metrics show cumulative count of Article Views (full-text article views including HTML views, PDF and ePub downloads, according to the available data) and Abstracts Views on Vision4Press platform.
Data correspond to usage on the plateform after 2015. The current usage metrics is available 48-96 hours after online publication and is updated daily on week days.
Initial download of the metrics may take a while.