Open Access
Fig. 8

Download original image
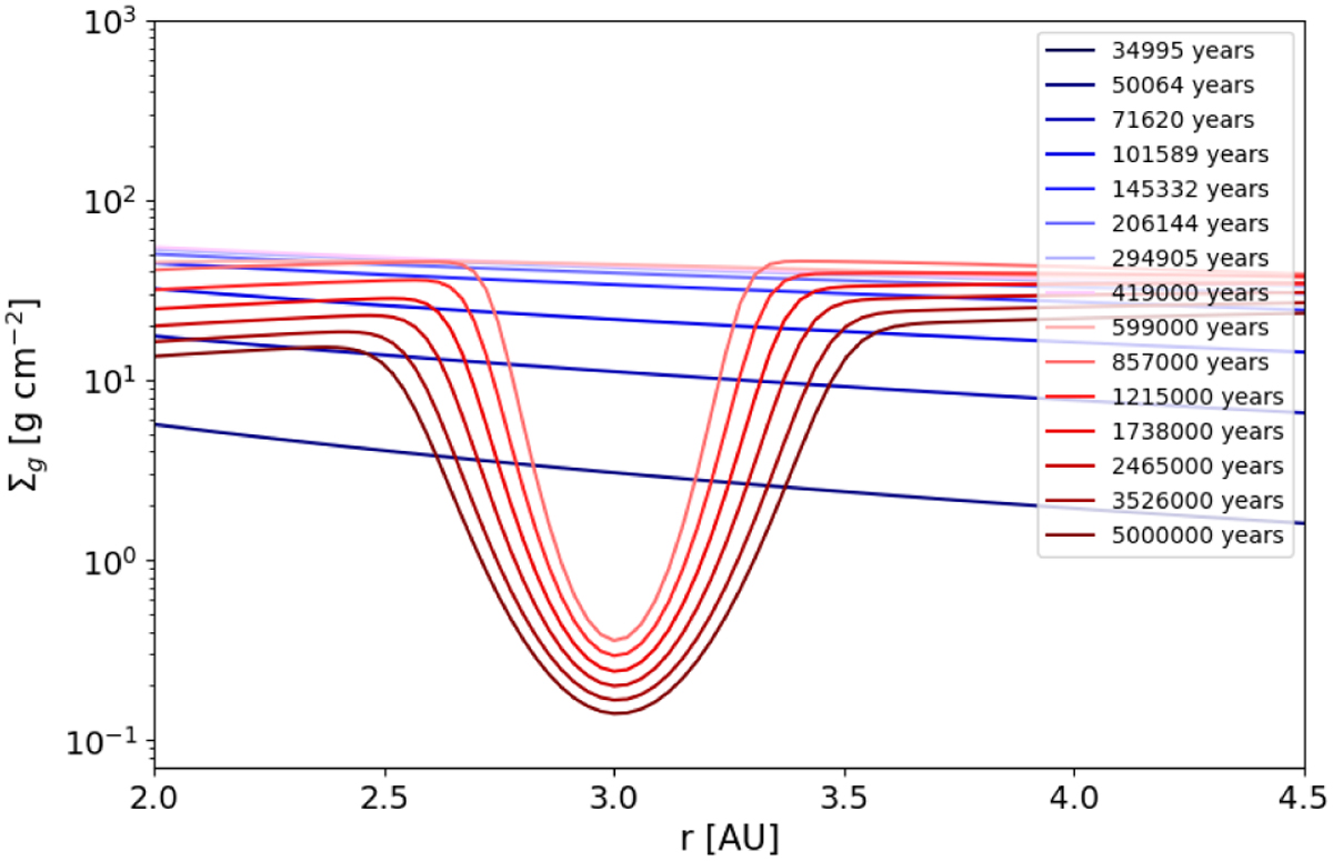
Close-up of Fig. 7 around the location of the planet gap. Surface density builds up here until the end of the infall phase, after which it starts dropping again. As Jupiter grows to its full size by accreting mass from its surroundings, its Hill radius increases, widening the gap.
Current usage metrics show cumulative count of Article Views (full-text article views including HTML views, PDF and ePub downloads, according to the available data) and Abstracts Views on Vision4Press platform.
Data correspond to usage on the plateform after 2015. The current usage metrics is available 48-96 hours after online publication and is updated daily on week days.
Initial download of the metrics may take a while.