Open Access

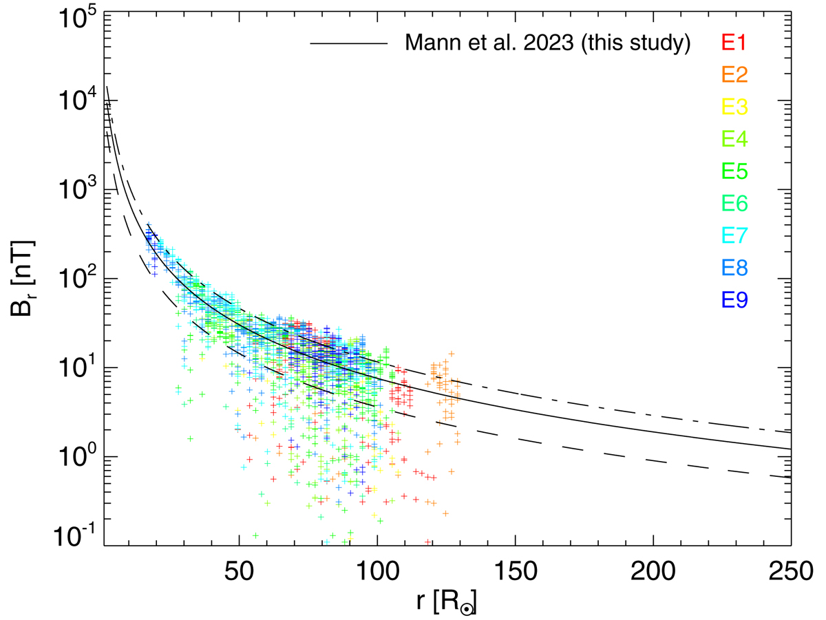
Fig. 6.

image

Download original image

As in Fig. 4, but showing the field strength of the radial component of the magnetic field Br as measured by the FIELDS instrument as a function of heliocentric distance r. The radial behaviour of Br according the model presented in Sect. 3 (see Table 4) is plotted as the solid line.

Current usage metrics show cumulative count of Article Views (full-text article views including HTML views, PDF and ePub downloads, according to the available data) and Abstracts Views on Vision4Press platform.

Data correspond to usage on the plateform after 2015. The current usage metrics is available 48-96 hours after online publication and is updated daily on week days.

Initial download of the metrics may take a while.