Open Access
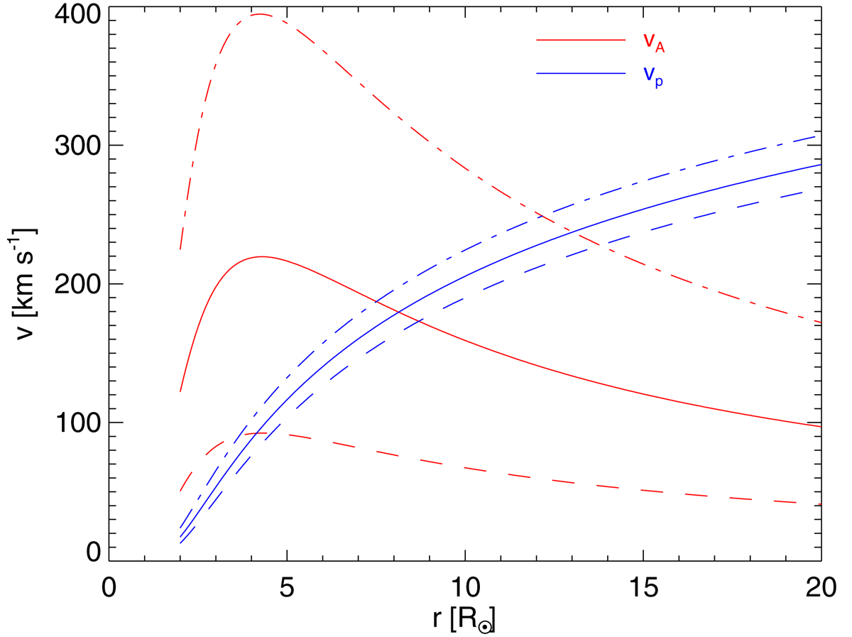
Fig. 7.

Download original image
Radial behaviour of the local Alfvén velocity for the mean (full line), minimum (dashed line), and maximum (dash-dotted line) case. For comparison, the radial behaviour of the solar wind speed is also shown in blue for the mean (full line), minimum (dashed line), and maximum (dash-dotted line) case.
Current usage metrics show cumulative count of Article Views (full-text article views including HTML views, PDF and ePub downloads, according to the available data) and Abstracts Views on Vision4Press platform.
Data correspond to usage on the plateform after 2015. The current usage metrics is available 48-96 hours after online publication and is updated daily on week days.
Initial download of the metrics may take a while.