Open Access
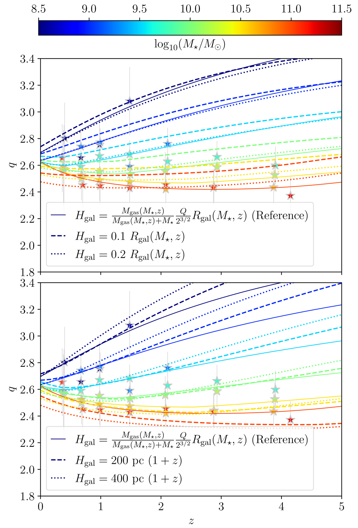
Fig. 12.

Download original image
Different models of the galactic scale height Hgal compared to the reference model. Top:Hgal scales with the characteristic galactic radius Rgal as modeled in Eq. (4). Bottom: model in which Hgal increases with redshift.
Current usage metrics show cumulative count of Article Views (full-text article views including HTML views, PDF and ePub downloads, according to the available data) and Abstracts Views on Vision4Press platform.
Data correspond to usage on the plateform after 2015. The current usage metrics is available 48-96 hours after online publication and is updated daily on week days.
Initial download of the metrics may take a while.