Fig. 14.

Download original image
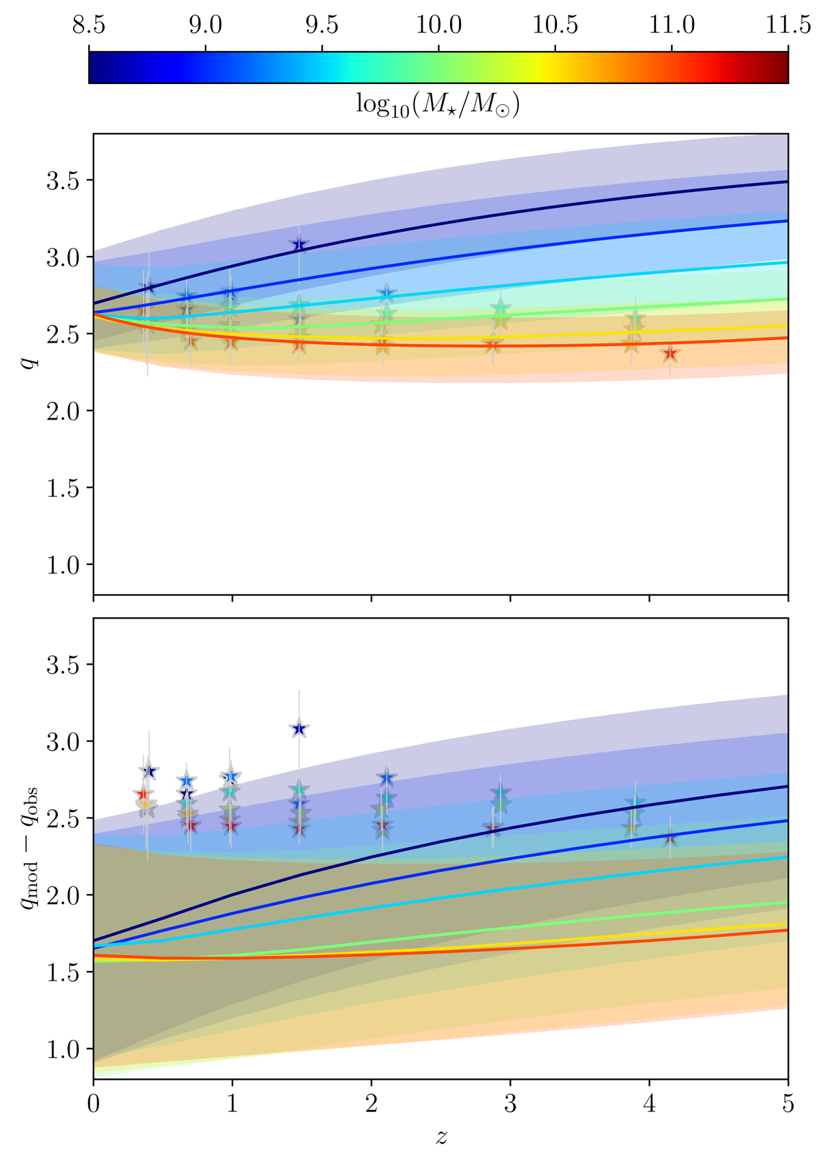
Model predictions for galaxy populations in which the free parameters have a range of values. Top: model predictions for a galaxy population, which on average has the parameters of our reference model, but in which fturb, fCR, fB, fπ, fsec, fion and fsISRF vary randomly with up to ±25% scatter around the default values. Bottom: model predictions for a galaxy population with parameters that match the ones of of the reference model, except for the value of αCR. Here, a galaxy population with 1.75 ≤ αCR ≤ 3.25 is considered which results in 0.4 ≲ α1.4 ≲ 1.3.
Current usage metrics show cumulative count of Article Views (full-text article views including HTML views, PDF and ePub downloads, according to the available data) and Abstracts Views on Vision4Press platform.
Data correspond to usage on the plateform after 2015. The current usage metrics is available 48-96 hours after online publication and is updated daily on week days.
Initial download of the metrics may take a while.