Open Access
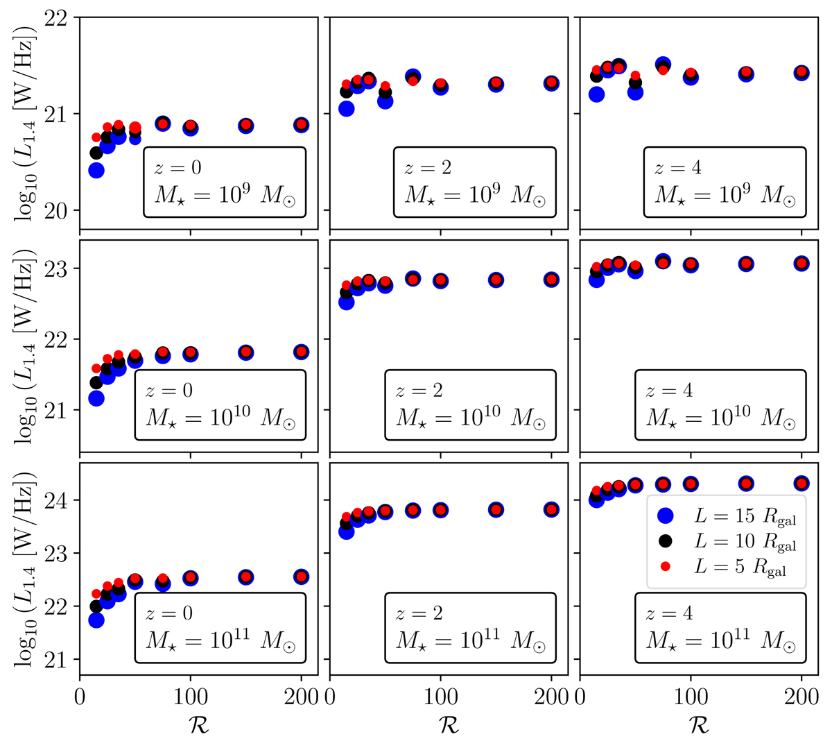
Fig. C.1.

Download original image
Rest-frame 1.4 GHz luminosity L1.4 for different box sizes L and resolution ℛ. Here, the default model (see Table 1) of face-on galaxies is used and a convergence analysis at different redshift z and stellar mass M⋆ is present as given in the labels.
Current usage metrics show cumulative count of Article Views (full-text article views including HTML views, PDF and ePub downloads, according to the available data) and Abstracts Views on Vision4Press platform.
Data correspond to usage on the plateform after 2015. The current usage metrics is available 48-96 hours after online publication and is updated daily on week days.
Initial download of the metrics may take a while.