Fig. 2.

Download original image
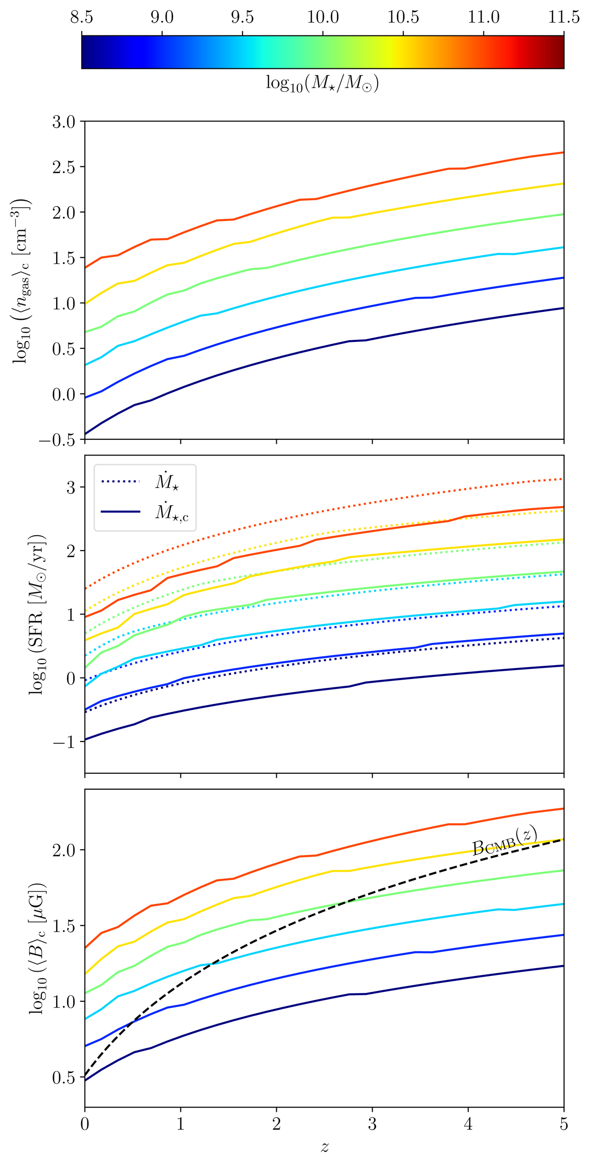
Input relations for the reference galaxy model (see Table 2). Upper panel: mean density in the central region of the galaxy obtained from integrating Eq. (8). Middle panel: total SFR from Eq. (2) shown by dotted lines and the SFR in the core region of the galaxy obtained from integrating Eq. (9) shown by solid lines. Lower panel: mean magnetic field strength in the core region of the galaxy obtained from integrating Eq. (14) with the default value fB = 0.1.
Current usage metrics show cumulative count of Article Views (full-text article views including HTML views, PDF and ePub downloads, according to the available data) and Abstracts Views on Vision4Press platform.
Data correspond to usage on the plateform after 2015. The current usage metrics is available 48-96 hours after online publication and is updated daily on week days.
Initial download of the metrics may take a while.