Open Access
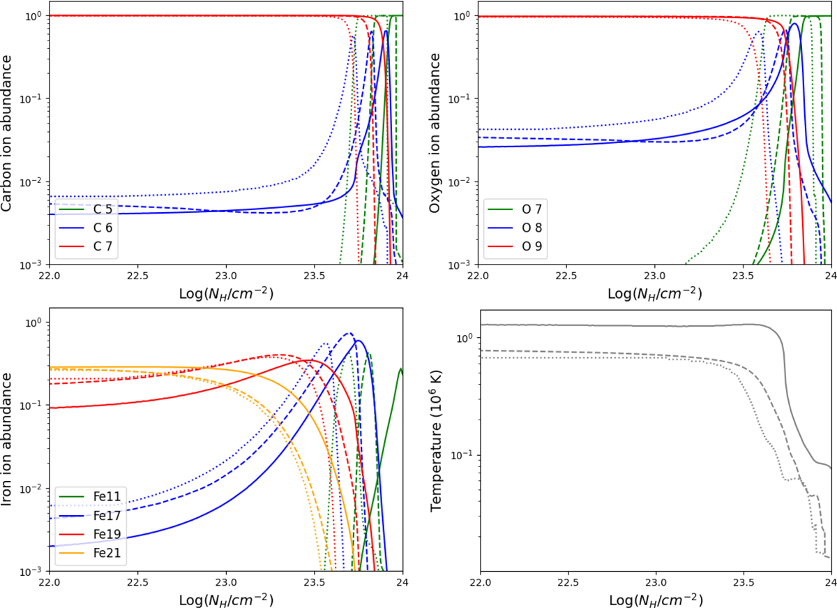
Fig. 7

Download original image
Selected ion abundances (from top to bottom and left to right, carbon, oxygen, iron; see legends) and temperature (bottom right) as a function of NH for a gas in photoionisation equilibrium, computed with TEPID (solid lines), Cloudy and XSTAR (dashed and dotted lines, respectively).
Current usage metrics show cumulative count of Article Views (full-text article views including HTML views, PDF and ePub downloads, according to the available data) and Abstracts Views on Vision4Press platform.
Data correspond to usage on the plateform after 2015. The current usage metrics is available 48-96 hours after online publication and is updated daily on week days.
Initial download of the metrics may take a while.