Fig. 3

Download original image
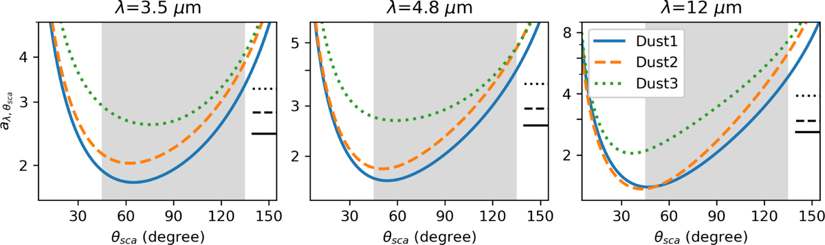
for the three target wavelengths and dust models. The black solid, dashed and dotted lines at the right side of the each panel are aλ derived using Eq. (7). The gray boxes show the range of the angles used to determine aλ (see the text for details).
Current usage metrics show cumulative count of Article Views (full-text article views including HTML views, PDF and ePub downloads, according to the available data) and Abstracts Views on Vision4Press platform.
Data correspond to usage on the plateform after 2015. The current usage metrics is available 48-96 hours after online publication and is updated daily on week days.
Initial download of the metrics may take a while.