Open Access
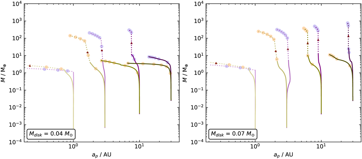
Fig. 3

Download original image
Evolution of planetary mass as a function of position for two sets of simulations with fDG = 0.01 (green colors) and fDG = 0.03 (purple colors) and two different initial disk masses. The rest of the parameters are the same as in the standard case (bold in Table 1).
Current usage metrics show cumulative count of Article Views (full-text article views including HTML views, PDF and ePub downloads, according to the available data) and Abstracts Views on Vision4Press platform.
Data correspond to usage on the plateform after 2015. The current usage metrics is available 48-96 hours after online publication and is updated daily on week days.
Initial download of the metrics may take a while.