Fig. 11

Download original image
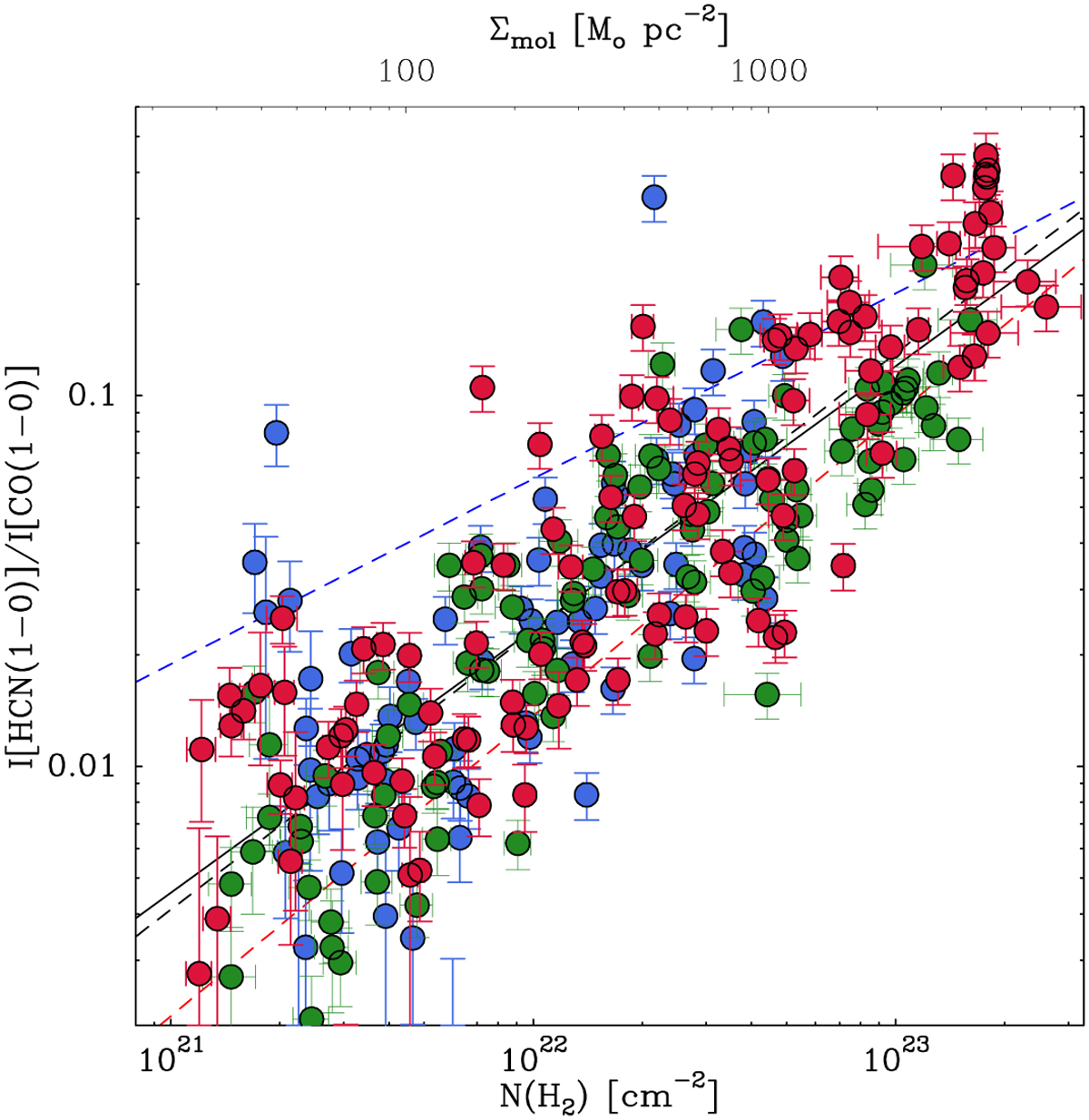
HCN(1−0)/CO(1−0) intensity ratio as a function of H2 column density for California, Perseus, and Orion A, color-coded as in Fig. 1. The solid and dashed black lines represent the two fits discussed in the text. The dashed red and blue lines represent, respectively, the fits derived by Gallagher et al. (2018) and Jiménez-Donaire et al. (2019) from extragalactic data.
Current usage metrics show cumulative count of Article Views (full-text article views including HTML views, PDF and ePub downloads, according to the available data) and Abstracts Views on Vision4Press platform.
Data correspond to usage on the plateform after 2015. The current usage metrics is available 48-96 hours after online publication and is updated daily on week days.
Initial download of the metrics may take a while.