Fig. 3.

Download original image
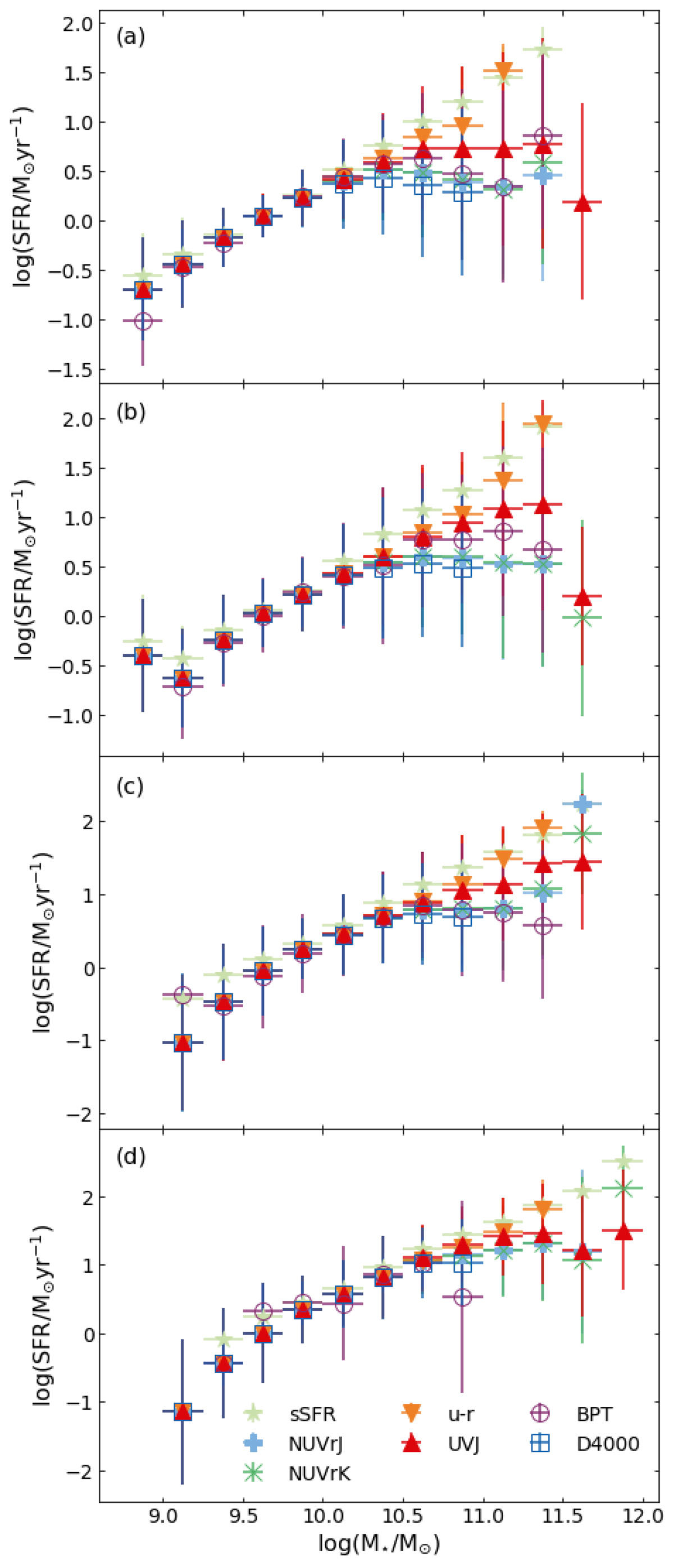
Mean SFR and standard deviation (vertical error bars) of the sSFR (light green stars), NUVrJ (light blue pluses), NVUrK (dark green crosses), u − r (orange, downward pointing triangles), UVJ (red, upward pointing triangles), BPT (empty purple circles), and D4000 (empty dark blue squares) selected star-forming galaxies at (a) 0.50 ≤ z < 0.62, (b) 0.62 ≤ z < 0.72, (c) 0.72 ≤ z < 0.85, and (d) 0.85 ≤ z < 1.20. Horizontal error bars indicate the width of the M⋆ bin.
Current usage metrics show cumulative count of Article Views (full-text article views including HTML views, PDF and ePub downloads, according to the available data) and Abstracts Views on Vision4Press platform.
Data correspond to usage on the plateform after 2015. The current usage metrics is available 48-96 hours after online publication and is updated daily on week days.
Initial download of the metrics may take a while.