Open Access
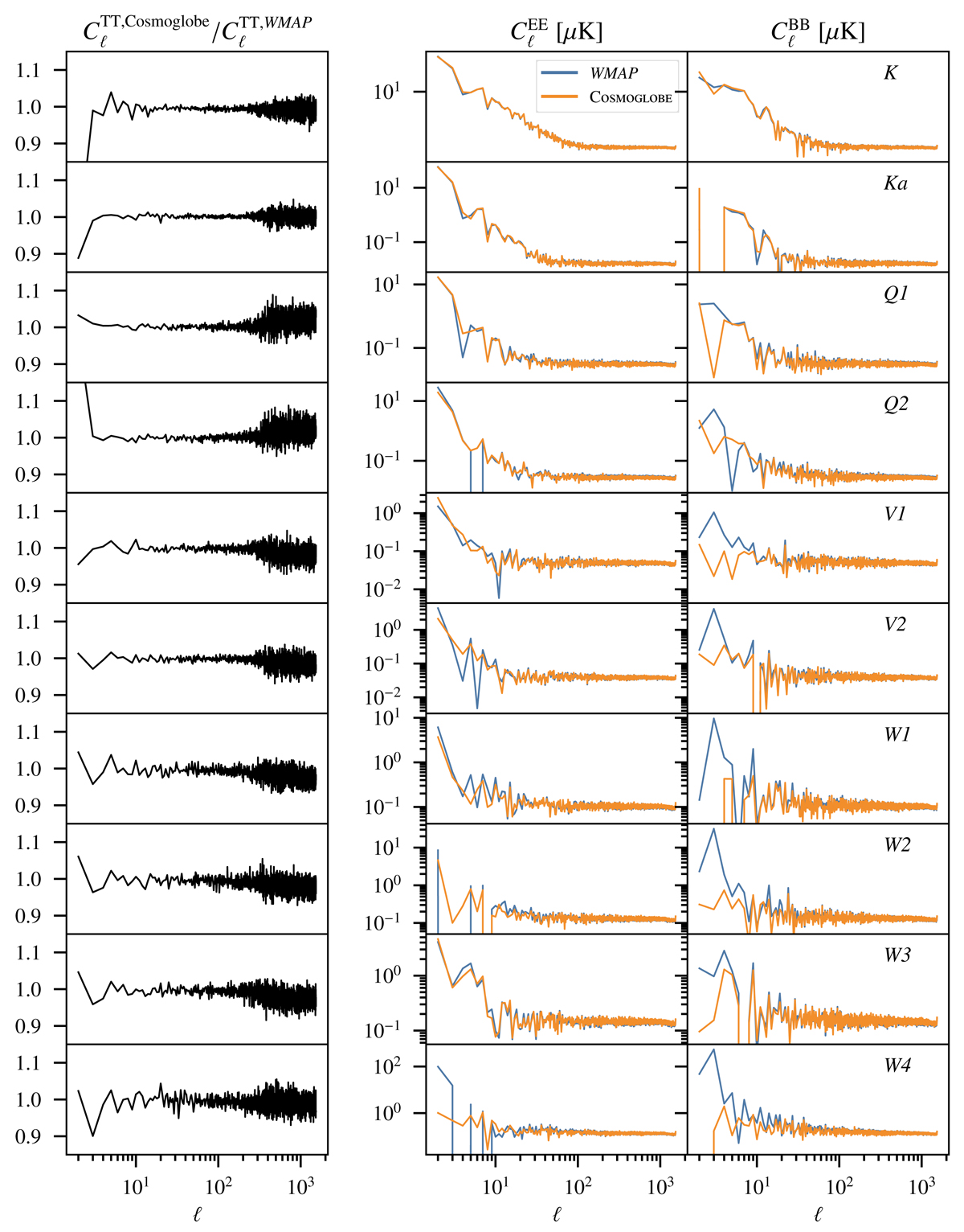
Fig. 23.

Download original image
Comparison of the ,
, and
from WMAP9 and COSMOGLOBE. Each row corresponds to a different DA, with frequency increasing from top to bottom. Left: ratio of
from COSMOGLOBE compared to WMAP9. Middle/right:
power spectra with WMAP9 in blue and COSMOGLOBE in orange.
Current usage metrics show cumulative count of Article Views (full-text article views including HTML views, PDF and ePub downloads, according to the available data) and Abstracts Views on Vision4Press platform.
Data correspond to usage on the plateform after 2015. The current usage metrics is available 48-96 hours after online publication and is updated daily on week days.
Initial download of the metrics may take a while.