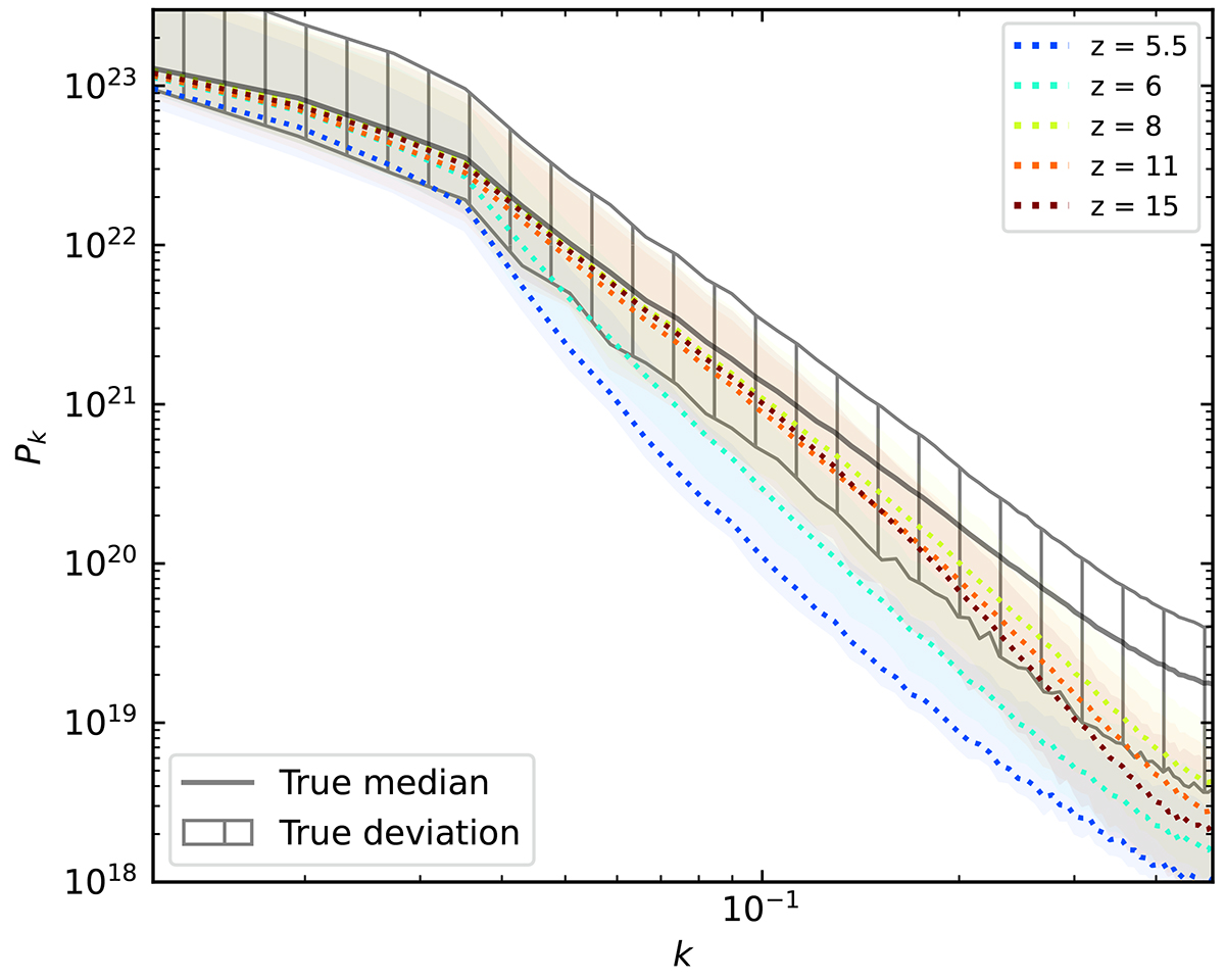
Fig. 12.

Download original image
Power spectrum of the treion(r) field obtained for ζ30. k is the spatial frequency with dimension [cMpc−1 h]. The black line stands for the average power spectrum of the ground truth and the dotted coloured lines stand for P(k) predictions with different zobs. The shaded areas depict the dispersion around the median (1st and 99th percentiles) for both predictions and ground truth.
Current usage metrics show cumulative count of Article Views (full-text article views including HTML views, PDF and ePub downloads, according to the available data) and Abstracts Views on Vision4Press platform.
Data correspond to usage on the plateform after 2015. The current usage metrics is available 48-96 hours after online publication and is updated daily on week days.
Initial download of the metrics may take a while.