Open Access
Fig. 15.

Download original image
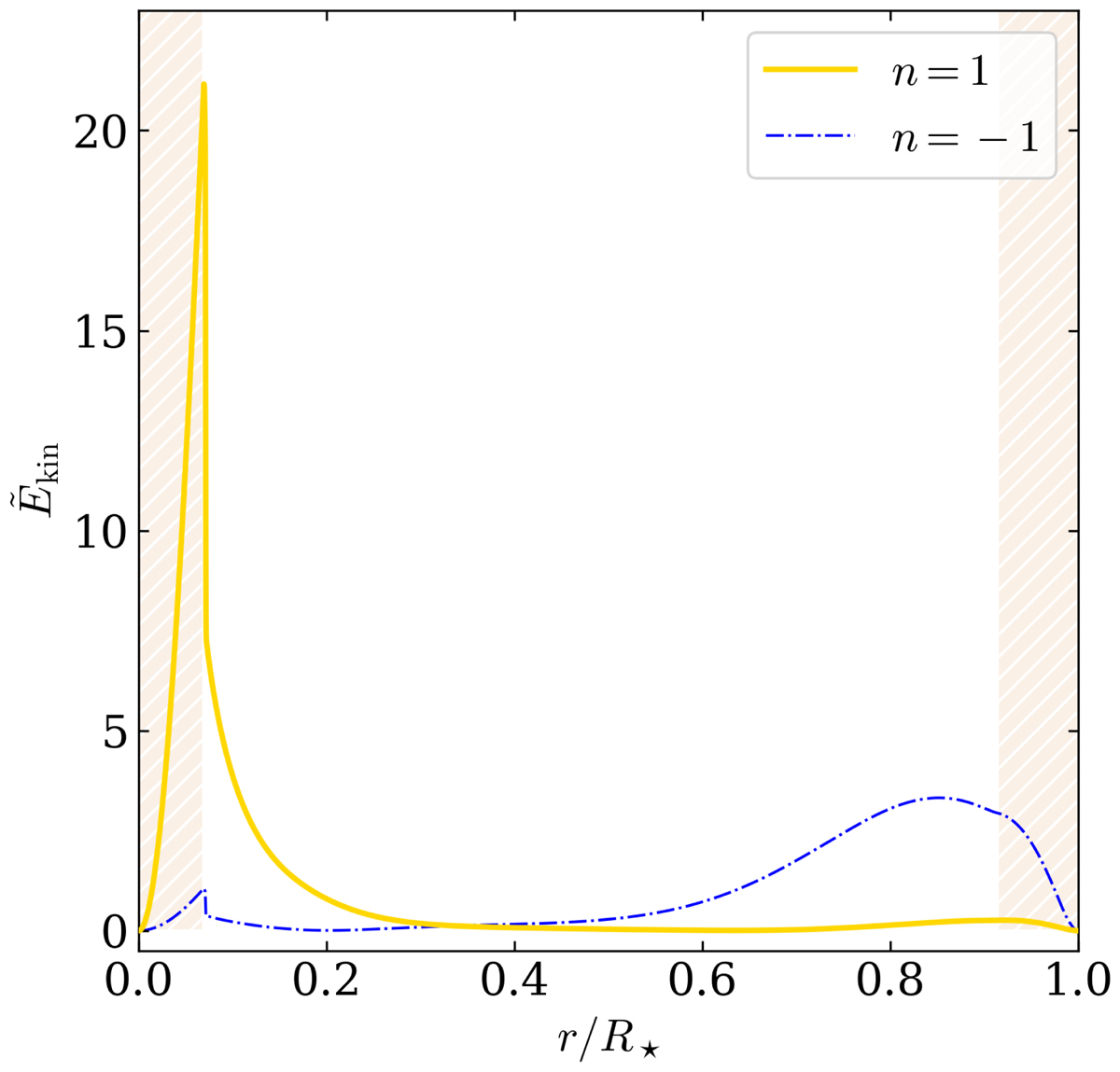
Normalised kinetic energy density profiles for mixed modes computed with GYRE for our KIC 9206432 reference model. The dash-dotted blue line shows the
profile for the n = −1 mode, which has no node in the p-mode cavity according to GYRE but has a
similar to the n = −1 and n = 1 mixed modes.
Current usage metrics show cumulative count of Article Views (full-text article views including HTML views, PDF and ePub downloads, according to the available data) and Abstracts Views on Vision4Press platform.
Data correspond to usage on the plateform after 2015. The current usage metrics is available 48-96 hours after online publication and is updated daily on week days.
Initial download of the metrics may take a while.