Open Access
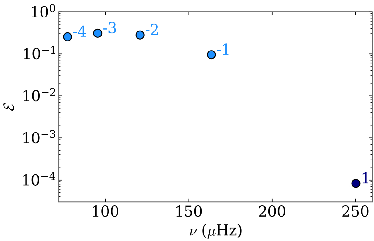
Fig. 5.

Download original image
Normalised inertia ℰ for the mode computed with GYRE with the KIC 3733735 reference model. The g modes are shown in light blue and the p mode in dark blue. The corresponding radial order n is indicated for each mode.
Current usage metrics show cumulative count of Article Views (full-text article views including HTML views, PDF and ePub downloads, according to the available data) and Abstracts Views on Vision4Press platform.
Data correspond to usage on the plateform after 2015. The current usage metrics is available 48-96 hours after online publication and is updated daily on week days.
Initial download of the metrics may take a while.