Open Access
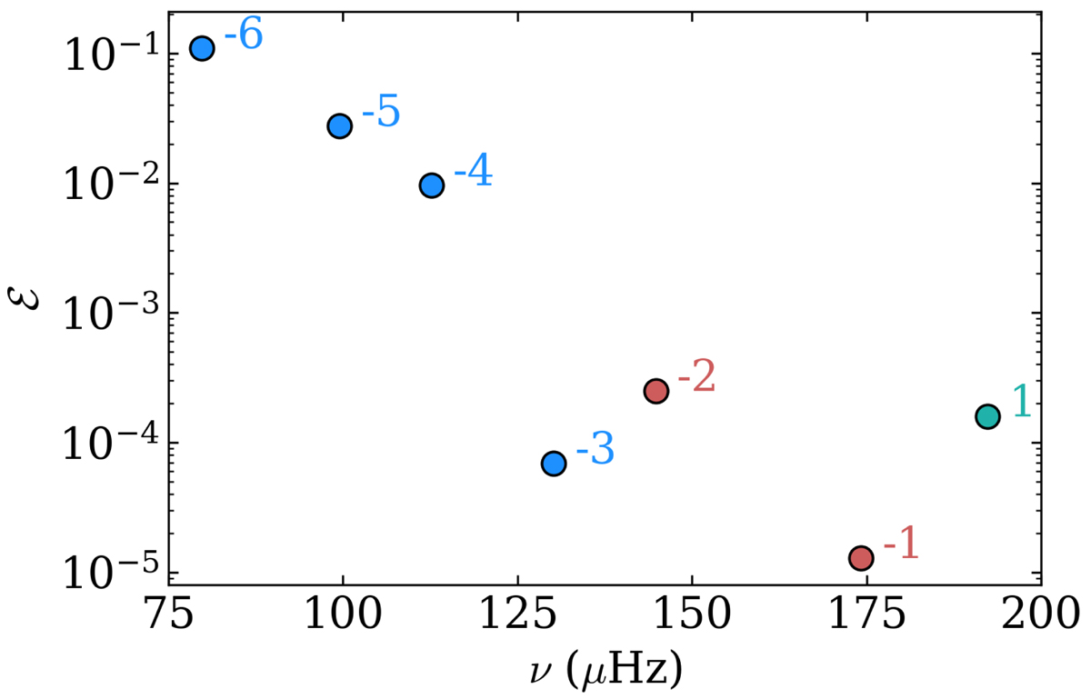
Fig. 8.

Download original image
Normalised inertia ℰ for the modes computed with GYRE with the KIC 6679371 reference model. The pure g modes are shown in light blue, the g-dominated mixed modes in red, and the p-dominated mixed mode in green. The corresponding radial order n is indicated for each mode.
Current usage metrics show cumulative count of Article Views (full-text article views including HTML views, PDF and ePub downloads, according to the available data) and Abstracts Views on Vision4Press platform.
Data correspond to usage on the plateform after 2015. The current usage metrics is available 48-96 hours after online publication and is updated daily on week days.
Initial download of the metrics may take a while.