Fig. 14.

Download original image
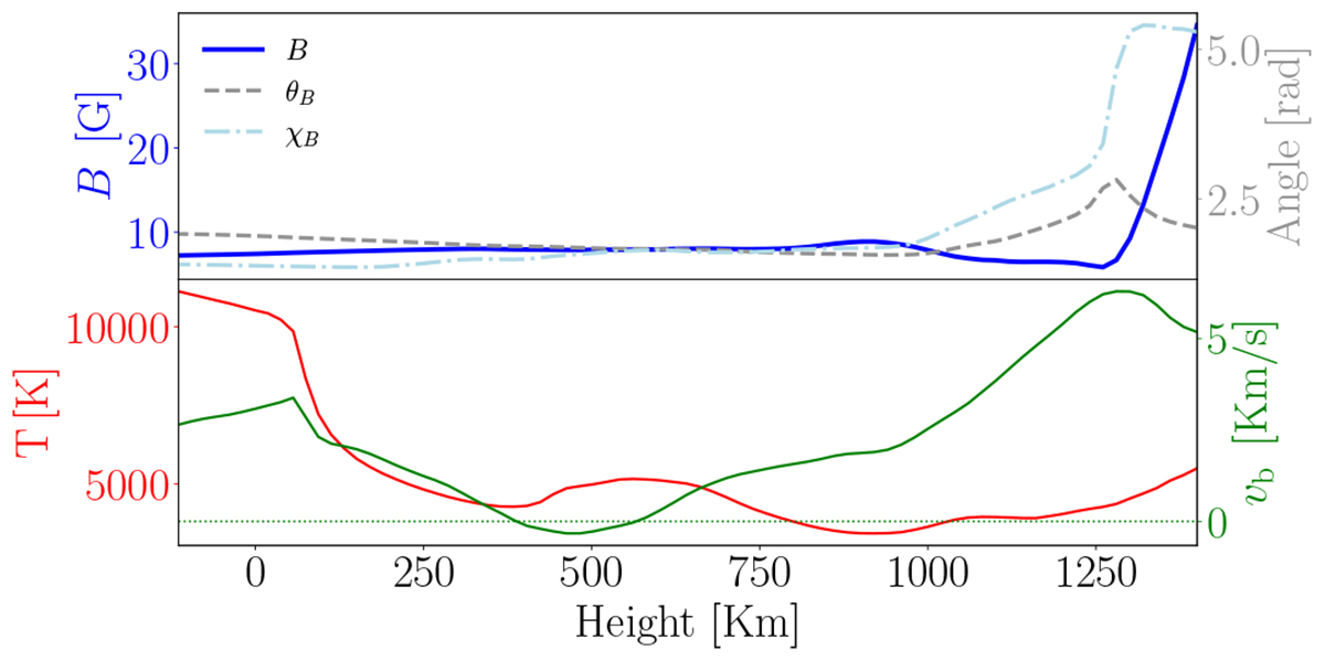
Physical quantities of the considered 1D atmospheric model extracted from the 3D MHD Bifrost simulation en024048_hion (snapshot 385, column 120 × 120). Upper panel: strength (blue solid line), inclination (gray dashed line), and azimuth (light-blue dashed-dotted line) of the magnetic field as a function of height. Lower panel: vertical component of bulk velocity (green solid line) and temperature (red solid line) as a function of height. We adopt the convention that the velocity is positive if pointing outward in the atmosphere and negative if pointing inward. For clarity, the horizontal green dotted line indicates zero velocity.
Current usage metrics show cumulative count of Article Views (full-text article views including HTML views, PDF and ePub downloads, according to the available data) and Abstracts Views on Vision4Press platform.
Data correspond to usage on the plateform after 2015. The current usage metrics is available 48-96 hours after online publication and is updated daily on week days.
Initial download of the metrics may take a while.