Open Access
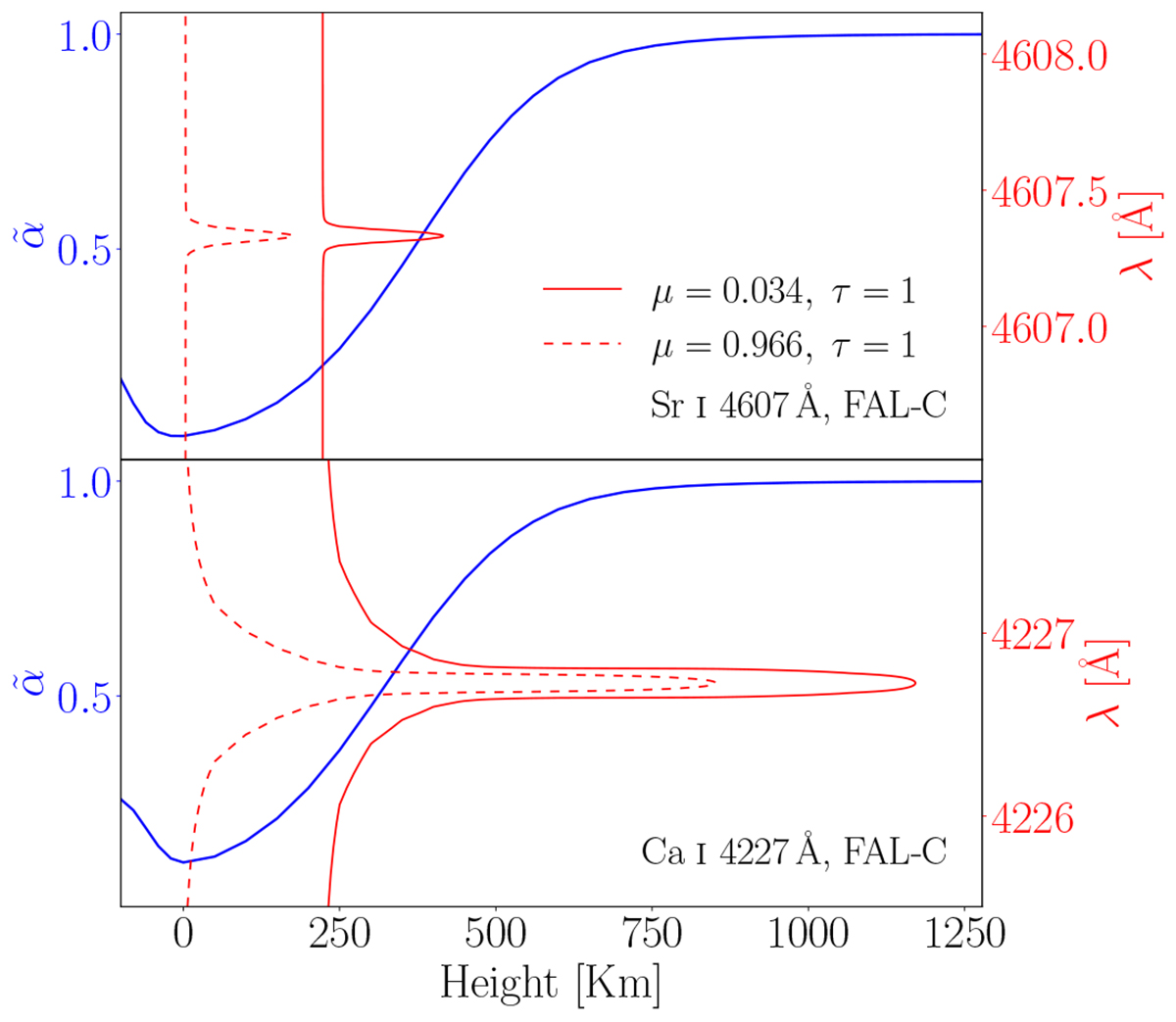
Fig. 4.

Download original image
Height variation of (blue line) for Sr I 4607 (top panel) and Ca I 4227 (bottom panel) in the FAL-C model. The red and dashed red isolines show the height where the optical depth as a function of wavelength is unity (i.e., τ = 1) for μ = 0.034 and μ = 0.966, respectively.
Current usage metrics show cumulative count of Article Views (full-text article views including HTML views, PDF and ePub downloads, according to the available data) and Abstracts Views on Vision4Press platform.
Data correspond to usage on the plateform after 2015. The current usage metrics is available 48-96 hours after online publication and is updated daily on week days.
Initial download of the metrics may take a while.