Fig. 4.

Download original image
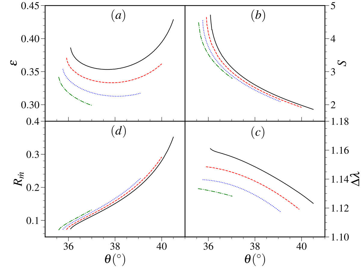
Variation of (a) shock locations (ϵ); (b) shock strength (𝒮); (c) amount of angular momentum dissipation (Δλ) across shock; and (d) mass outflow rate (Rṁ) in terms of the pitch angle for various flow densities at the sonic surface (qρc). The solid (black), dashed (red), dotted (blue), and dashed-dotted (green) lines are for qρ = 0.0001, 0.1, 0.2, and 0.3, respectively. We fixed q2c = 0.60 at the radial distance r = 0.01. See the text for details.
Current usage metrics show cumulative count of Article Views (full-text article views including HTML views, PDF and ePub downloads, according to the available data) and Abstracts Views on Vision4Press platform.
Data correspond to usage on the plateform after 2015. The current usage metrics is available 48-96 hours after online publication and is updated daily on week days.
Initial download of the metrics may take a while.