Fig. 12

Download original image
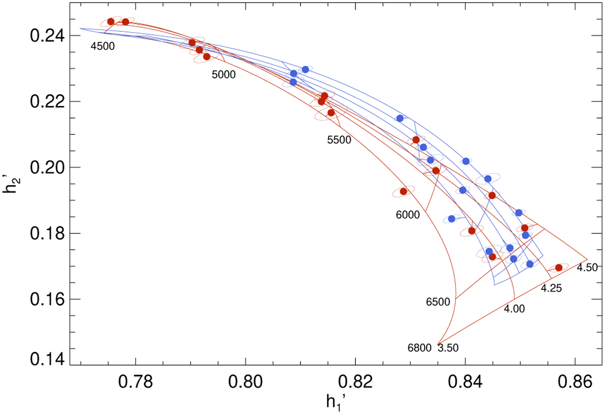
Example of polynomial fits in stellar parameter space to h′1 and h′2 from light curve analyses for transit parameters b = 0 and k = 0.1. Red dots with 1σ joint confidence regions depict the results of 3D models of solar metallicity, and blue dots the results for metallicity [Fe/H] = −1. Lines of constant Teff and log ɡ are added to illustrate the functional dependence. Line segments connect data points and corresponding values predicted by the polynomial.
Current usage metrics show cumulative count of Article Views (full-text article views including HTML views, PDF and ePub downloads, according to the available data) and Abstracts Views on Vision4Press platform.
Data correspond to usage on the plateform after 2015. The current usage metrics is available 48-96 hours after online publication and is updated daily on week days.
Initial download of the metrics may take a while.