Open Access
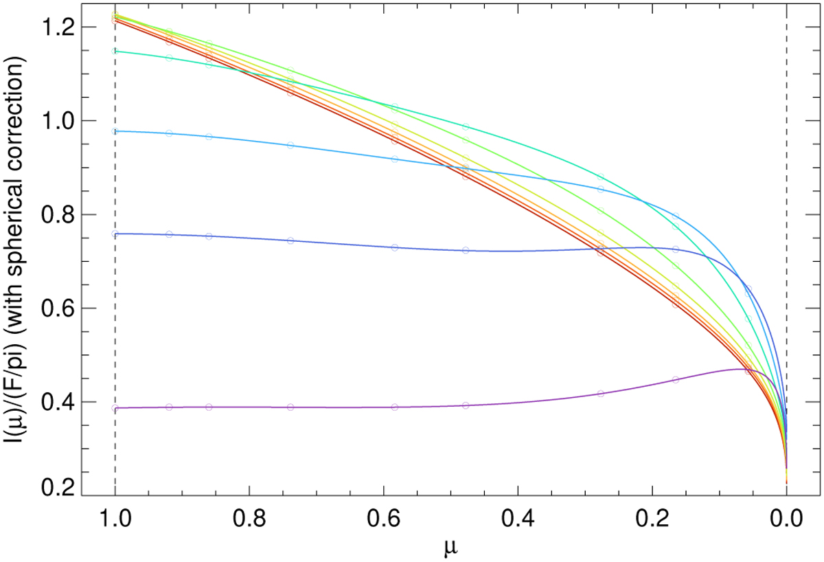
Fig. G.2

Download original image
Fits to the MHD intensity distributions with the Claret-6 law. The same unit of intensity is used for all models emphasizing the reduction in total flux at great magnetic field strengths. The color-model correspondence is the same as in Fig. G.1.
Current usage metrics show cumulative count of Article Views (full-text article views including HTML views, PDF and ePub downloads, according to the available data) and Abstracts Views on Vision4Press platform.
Data correspond to usage on the plateform after 2015. The current usage metrics is available 48-96 hours after online publication and is updated daily on week days.
Initial download of the metrics may take a while.