Fig. 6

Download original image
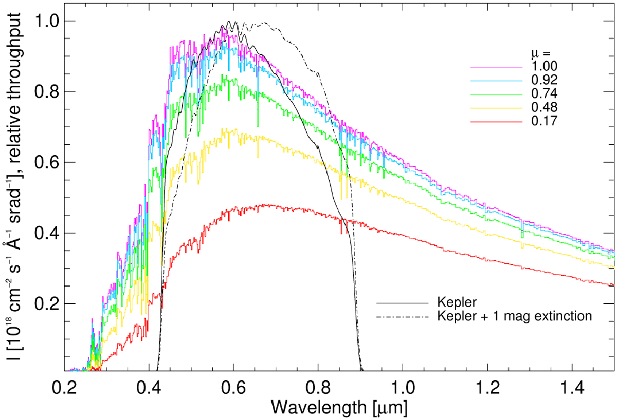
Example (field-free model B0000) of the calculated intensity distribution, together with the Kepler passband. The reddening effect on the passband from interstellar extinction of 1 mag is depicted. Passbands are normalized to a maximum of one. Since Kepler effectively operates in photon-counting mode, intensities are expressed in terms of photon counts.
Current usage metrics show cumulative count of Article Views (full-text article views including HTML views, PDF and ePub downloads, according to the available data) and Abstracts Views on Vision4Press platform.
Data correspond to usage on the plateform after 2015. The current usage metrics is available 48-96 hours after online publication and is updated daily on week days.
Initial download of the metrics may take a while.