Fig. 9

Download original image
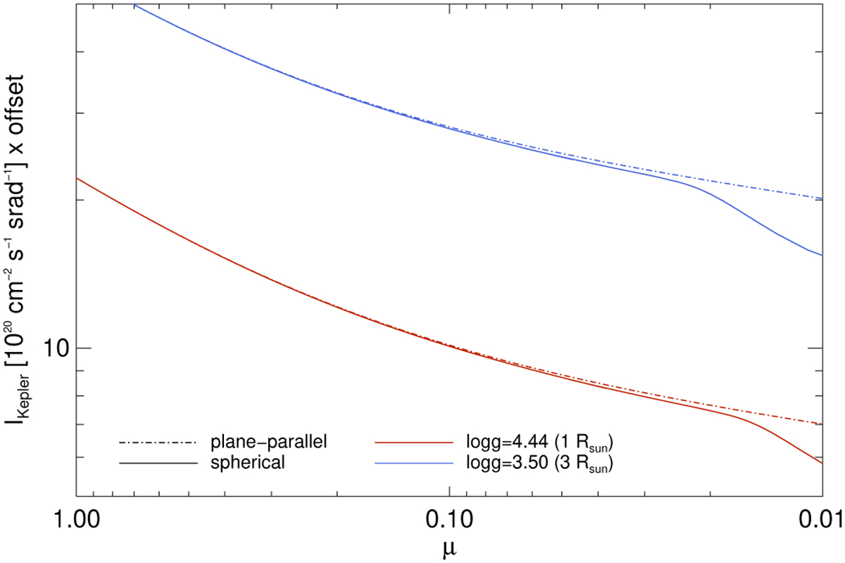
Comparison of intensities in the Kepler passband calculated in spherical and plane-parallel symmetry. The results are shown for two models of approximately solar effective temperature and metallicity but different surface gravity. For clarity, the intensities of the log ɡ = 3.5 model were scaled by a factor of two. The intensities were calculated in the gray approximation.
Current usage metrics show cumulative count of Article Views (full-text article views including HTML views, PDF and ePub downloads, according to the available data) and Abstracts Views on Vision4Press platform.
Data correspond to usage on the plateform after 2015. The current usage metrics is available 48-96 hours after online publication and is updated daily on week days.
Initial download of the metrics may take a while.