Fig. 7

Download original image
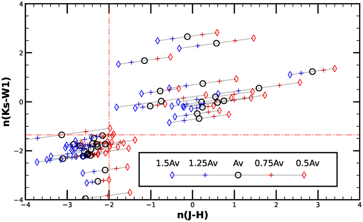
Scatter plot of Lada indices n(J–H) and n(KS –W1) for the HBe stars studied in this work. The AV was varied by 25% and 50%, and the resultant index values are marked with plus and diamond symbols, respectively. The symbols are marked in blue if the AV was increased and in red if the AV was decreased. The inset subplot explains the symbols and colours used in the plot with the respective AV value above each symbol.
Current usage metrics show cumulative count of Article Views (full-text article views including HTML views, PDF and ePub downloads, according to the available data) and Abstracts Views on Vision4Press platform.
Data correspond to usage on the plateform after 2015. The current usage metrics is available 48-96 hours after online publication and is updated daily on week days.
Initial download of the metrics may take a while.