Fig. 3

Download original image
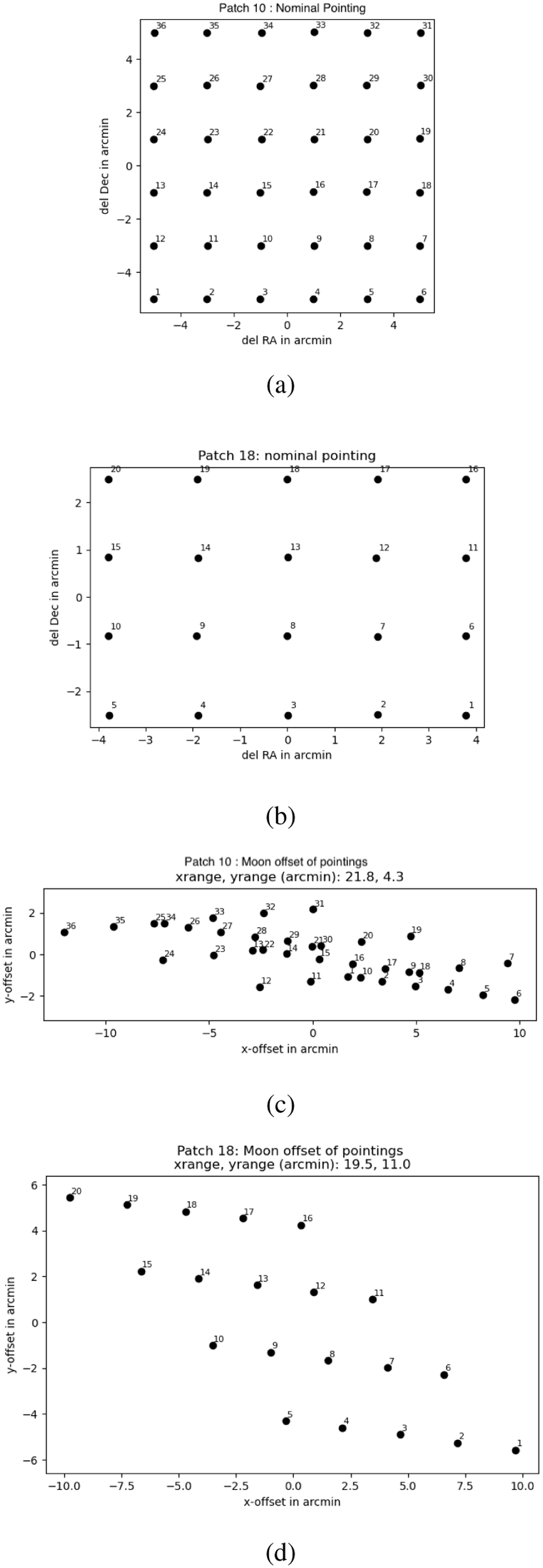
Nominal pointing positions for patches 1−11 (panel a). The overall size of the patch is 10 × 10 arcminutes2. Nominal pointing positions for patches 12−19 (panel b). The overall size of the patch is 4.8 × 7.5 arcminutes2. Patches 1−11 and 12−19 were observed with RoboPol through a rectangular grid of either 6 × 6 or 5 × 4 pointing coordinates, respectively, in the sequence marked in the images. Due to the motion of the Moon in the sky, the shape of the grid with respect to the Moon is distorted, depending on the sequence of observations followed. For patch 10, the grid points are spread across a region of 21.8 × 4.3 arcminutes2 (panel c). Patches 1 to 11 have similar pattern, and their geometrical extant is noted in Table 1. For patch 18, the grid points are spread across a region of 19.5 × 11 arcminutes2 (panel d). Patches 12 to 19 have similar pattern, and their geometrical extents are noted in Table 1.
Current usage metrics show cumulative count of Article Views (full-text article views including HTML views, PDF and ePub downloads, according to the available data) and Abstracts Views on Vision4Press platform.
Data correspond to usage on the plateform after 2015. The current usage metrics is available 48-96 hours after online publication and is updated daily on week days.
Initial download of the metrics may take a while.