Open Access
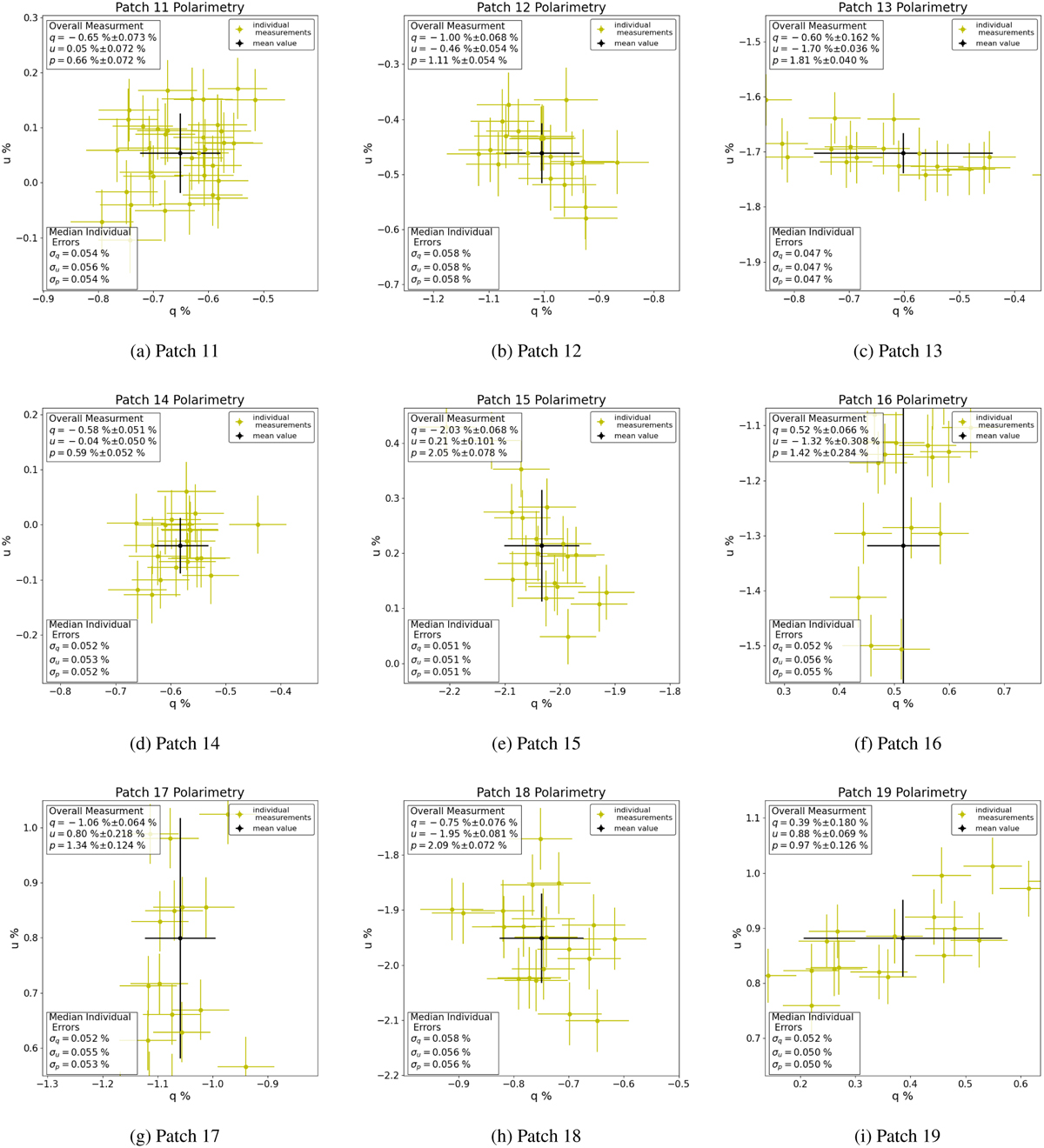
Fig. A.2

Download original image
Polarimetric measurements for patches 11 to 19, similar to Fig. 4. Yellow crosses represent the q and u values for all the individual pointing for a patch. The overall mean value and the measured standard deviation (black cross) are mentioned in the legend at the top left.
Current usage metrics show cumulative count of Article Views (full-text article views including HTML views, PDF and ePub downloads, according to the available data) and Abstracts Views on Vision4Press platform.
Data correspond to usage on the plateform after 2015. The current usage metrics is available 48-96 hours after online publication and is updated daily on week days.
Initial download of the metrics may take a while.