Fig. C.2.

Download original image
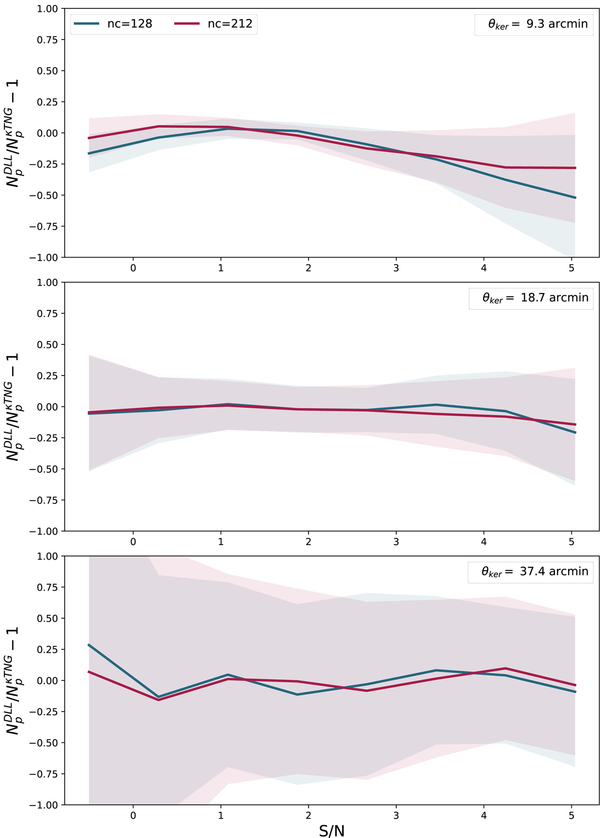
Fractional number of peaks of DLL simulations and κTNG-Dark simulations. The results are shown for the number counts 1283 (blue lines) and 2123 (orange lines). The peak count distributions are shown for each starlet scale resolution used: 9.34 (upper panel), 18.17 (center panel), and 37.38 arcmins (lower panel). The results show the mean over 100 independent map realizations, the shaded regions represent the error on the mean. The statistics are computed for the source redshift of zs = 0.91.
Current usage metrics show cumulative count of Article Views (full-text article views including HTML views, PDF and ePub downloads, according to the available data) and Abstracts Views on Vision4Press platform.
Data correspond to usage on the plateform after 2015. The current usage metrics is available 48-96 hours after online publication and is updated daily on week days.
Initial download of the metrics may take a while.