Fig. A.1

Download original image
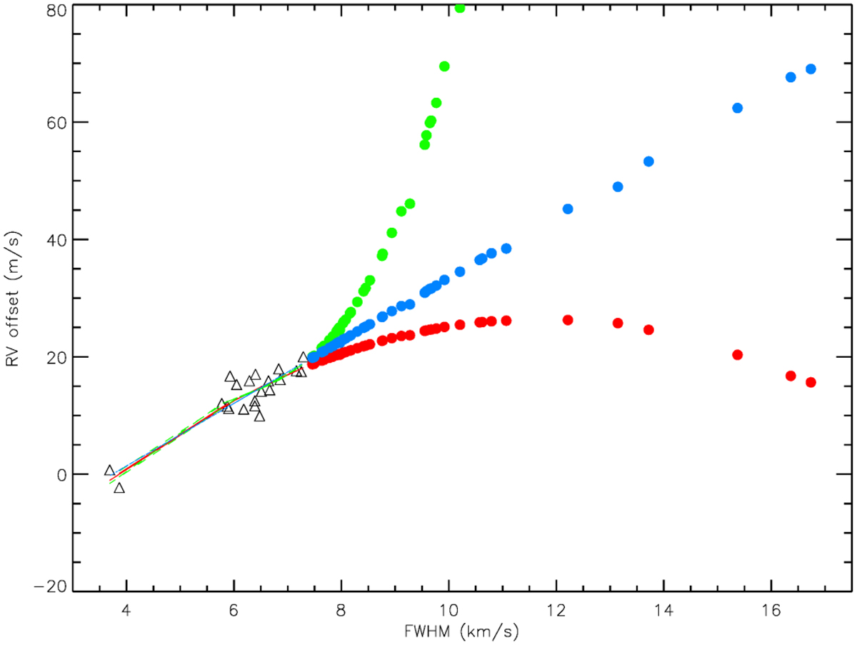
RV offset correction after fiber change as a function of FWHM (new observations have larger RV). Triangles are observed standard stars by LoCurto. The 60 sample stars with observations pre and post fiber change are coloured in blue, red or green circles (with their mean FWHM pre fiber change and after correcting from focus drift) and extrapolated using polynomials of 1 st, 2nd or 3rd order fitting the standard stars, respectively.
Current usage metrics show cumulative count of Article Views (full-text article views including HTML views, PDF and ePub downloads, according to the available data) and Abstracts Views on Vision4Press platform.
Data correspond to usage on the plateform after 2015. The current usage metrics is available 48-96 hours after online publication and is updated daily on week days.
Initial download of the metrics may take a while.