Fig. 4.

Download original image
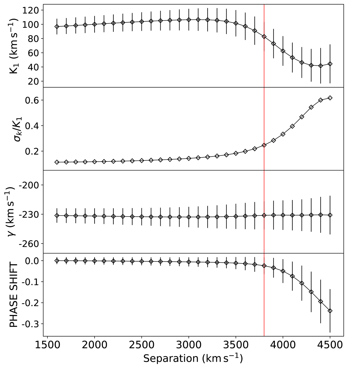
Diagnostic diagram for Hβ. Every parameter was calculated by using two Gaussian lines with the same FWHM. Shown from top to the bottom, plotted vs. the peak-to-peak separation, are the semi-amplitude velocity K1, the ratio of K1 to its associated error, the systemic velocity γ, and the corresponding phase shift. The vertical red line represents the peak-to-peak separation (a = 3800 km s−1) above which the measurements begin to be contaminated by noise in the continuum, as inferred from the plot in the second panel.
Current usage metrics show cumulative count of Article Views (full-text article views including HTML views, PDF and ePub downloads, according to the available data) and Abstracts Views on Vision4Press platform.
Data correspond to usage on the plateform after 2015. The current usage metrics is available 48-96 hours after online publication and is updated daily on week days.
Initial download of the metrics may take a while.