Fig. 7

Download original image
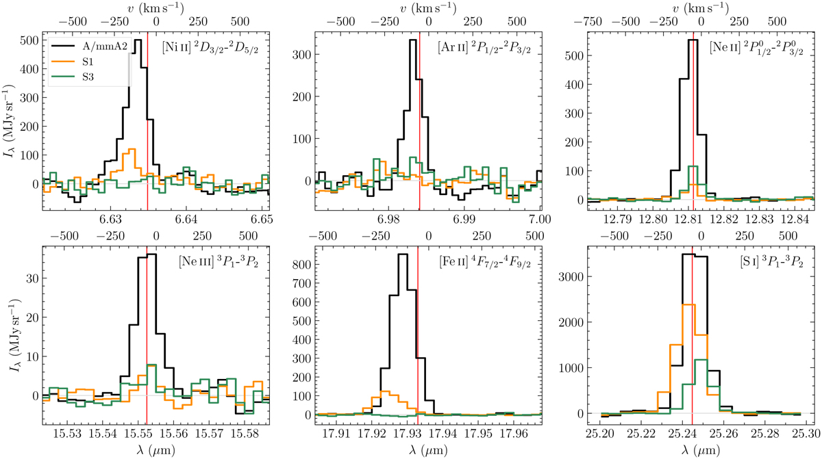
JWST/MIRI MRS spectra of atomic line emission. In each panel, the spectra presented were extracted from the positions at the MIR source A/mmA2 (black, Table 3) and two shock locations (orange: S1 and green: S3, see Fig. 3). The bottom and top x-axes show the observed wavelength and velocity, respectively. The red vertical line indicates the wavelength of the line at a source velocity of −50.2 km s−1.
Current usage metrics show cumulative count of Article Views (full-text article views including HTML views, PDF and ePub downloads, according to the available data) and Abstracts Views on Vision4Press platform.
Data correspond to usage on the plateform after 2015. The current usage metrics is available 48-96 hours after online publication and is updated daily on week days.
Initial download of the metrics may take a while.