Fig. 16.

Download original image
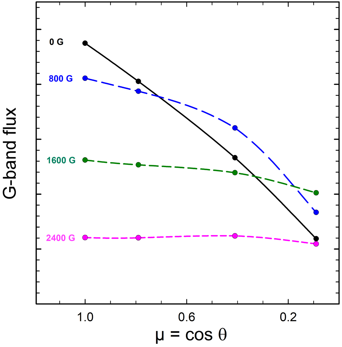
Emission levels in pseudo-continua around the G-band for different magnetic field strengths, relative to the zero-field case at solar disk center, and for different center-to-limb positions. For 800 and 1600 G (80 and 160 mT), the crossover to bright regions (faculae) is seen when moving toward the limb. For the strongest magnetic fields the fluxes become faint, and dark pores begin to form.
Current usage metrics show cumulative count of Article Views (full-text article views including HTML views, PDF and ePub downloads, according to the available data) and Abstracts Views on Vision4Press platform.
Data correspond to usage on the plateform after 2015. The current usage metrics is available 48-96 hours after online publication and is updated daily on week days.
Initial download of the metrics may take a while.