Fig. 9

Download original image
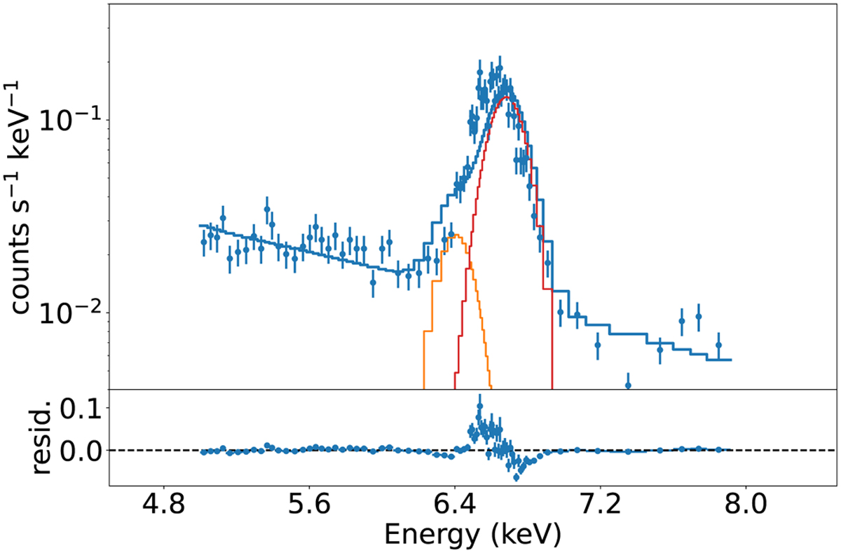
Spectral fit for observation no. 44 (ID 0893811301, spring 2022) in region A. We performed a fit in the 5.0–8.0 keV energy band. The fit model is a power-law continuum with two lines. The energy and width of each line was fixed to the value found in the calibration step (Sect. 3). The bottom panel shows the residuals (data-model).
Current usage metrics show cumulative count of Article Views (full-text article views including HTML views, PDF and ePub downloads, according to the available data) and Abstracts Views on Vision4Press platform.
Data correspond to usage on the plateform after 2015. The current usage metrics is available 48-96 hours after online publication and is updated daily on week days.
Initial download of the metrics may take a while.