Fig. 4.

Download original image
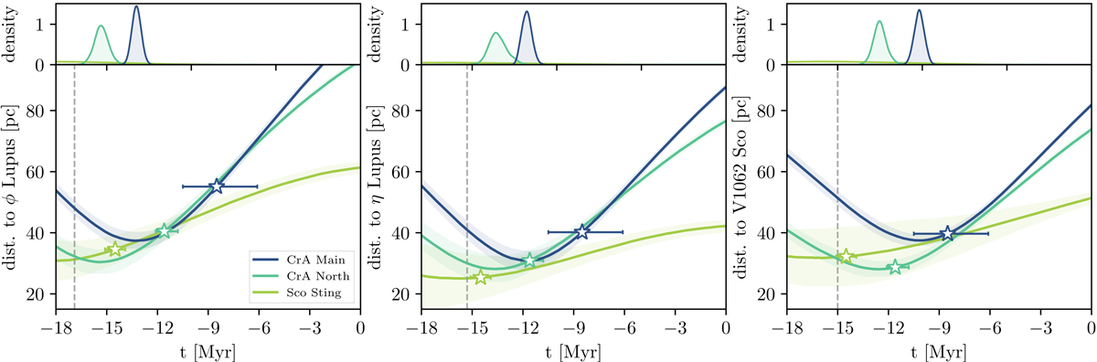
Distance between the older and more massive clusters ϕ Lupus, η Lupus, and V1062 Sco and each of the younger clusters CrA Main, North, and Sco Sting over the past 18 Myr. Ages and their corresponding uncertainties for CrA Main, North, and Sco Sting are indicated with a star. Prior to star formation, the motion of these clusters corresponds to that of their primordial clouds. The ages of the reference clusters are indicated with the vertical dashed lines. All ages are taken from R23b and we list them in Table A.1. At the top, we show the distribution of the times of minimum separation; the distribution of Sco Sting is widespread and hardly visible.
Current usage metrics show cumulative count of Article Views (full-text article views including HTML views, PDF and ePub downloads, according to the available data) and Abstracts Views on Vision4Press platform.
Data correspond to usage on the plateform after 2015. The current usage metrics is available 48-96 hours after online publication and is updated daily on week days.
Initial download of the metrics may take a while.