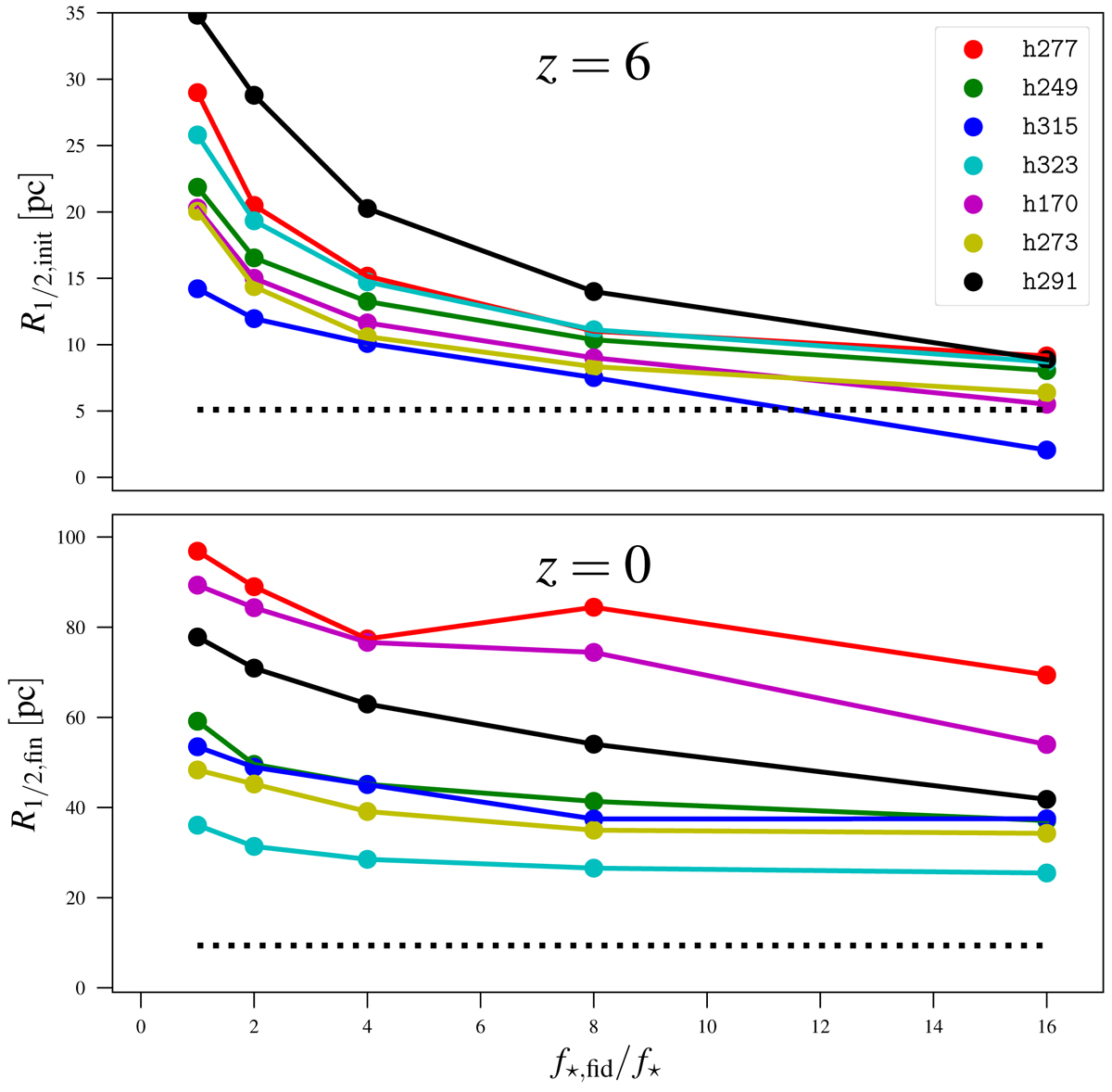
Fig. 6.

Download original image
Dependency of the initial size of the main cluster R1/2,init at z = 6 (top panel) and the final size of UFDs R1/2 (bottom panel) on the f⋆ parameter normalised here by the fiducial value f⋆,fid. Moving from 1 to 16, the number of particles in clusters is reduced accordingly. In both panels, the dotted horizontal line indicates the simulation resolution, that is, the gravitational softening length.
Current usage metrics show cumulative count of Article Views (full-text article views including HTML views, PDF and ePub downloads, according to the available data) and Abstracts Views on Vision4Press platform.
Data correspond to usage on the plateform after 2015. The current usage metrics is available 48-96 hours after online publication and is updated daily on week days.
Initial download of the metrics may take a while.