Fig. B.1.

Download original image
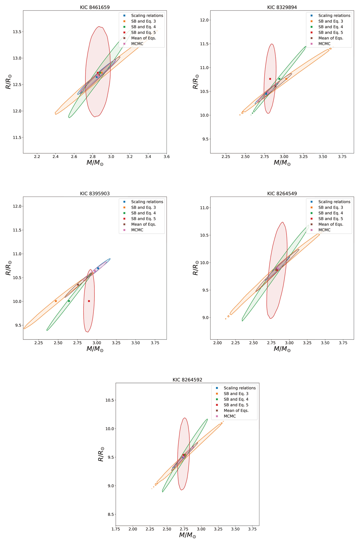
Mass-radius diagrams with 1σ intervals for masses and radii calculated from different scaling relations and the Stefan-Boltzmann equation. The shaded contours mark the 1σ confidence bounds, plotted using a Gaussian kernel density estimation. For all points except MCMC, the samples were obtained with a standard Monte Carlo simulation procedure.
Current usage metrics show cumulative count of Article Views (full-text article views including HTML views, PDF and ePub downloads, according to the available data) and Abstracts Views on Vision4Press platform.
Data correspond to usage on the plateform after 2015. The current usage metrics is available 48-96 hours after online publication and is updated daily on week days.
Initial download of the metrics may take a while.