Open Access
Fig. 3

Download original image
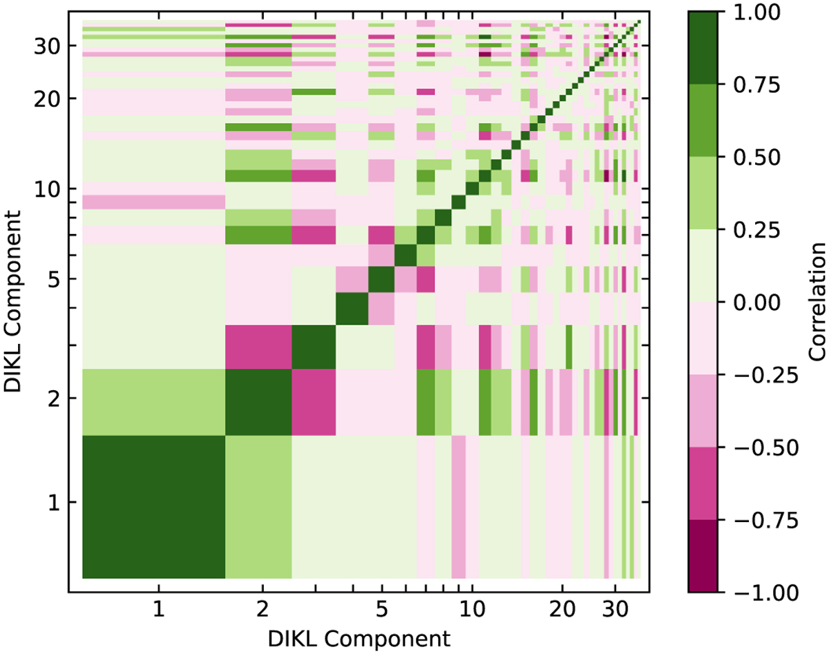
Correlation matrix of DIKL components. While KL components are mutually orthogonal, most DIKL components are not. However, with the FRVs in Fig. 2 suggesting that only the first ~5 DIKL components contribute to the removal of speckles, the crosstalk from higher order components therefore does not impact DIKL data reduction.
Current usage metrics show cumulative count of Article Views (full-text article views including HTML views, PDF and ePub downloads, according to the available data) and Abstracts Views on Vision4Press platform.
Data correspond to usage on the plateform after 2015. The current usage metrics is available 48-96 hours after online publication and is updated daily on week days.
Initial download of the metrics may take a while.