Open Access

Fig. 6.

image

Download original image

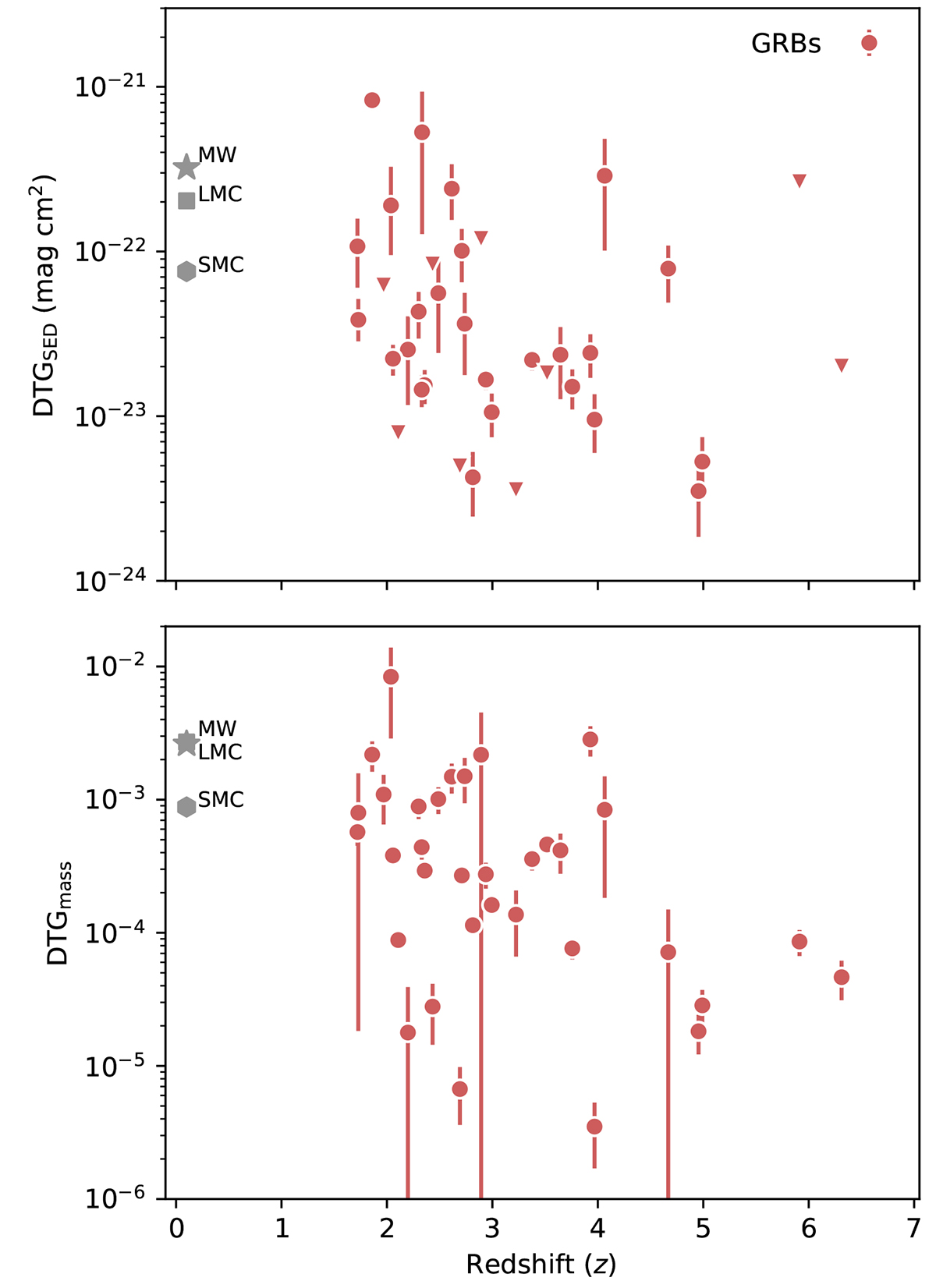
SED-derived DTG ratio, DTGSED = AV/NHI (top), and depletion-derived DTGmass (bottom) as a function of redshift. The symbol notation follows Fig. 3. For comparison we mark the DTG ratios of the MW, LMC, and SMC. The GRB sightlines through high-redshift galaxies typically probe lower DTG content than inferred from these local galaxies.

Current usage metrics show cumulative count of Article Views (full-text article views including HTML views, PDF and ePub downloads, according to the available data) and Abstracts Views on Vision4Press platform.

Data correspond to usage on the plateform after 2015. The current usage metrics is available 48-96 hours after online publication and is updated daily on week days.

Initial download of the metrics may take a while.