Open Access

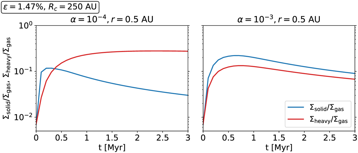
Fig. 3

image

Download original image

Time evolution integration of heavy-element content of the gas phase at 0.5 AU either from the solids (see Fig. 1) or the vapour (see Fig. 2) for discs with Rc = 250 AU and α = 10−4 (left) and α = 10−3 (right).

Current usage metrics show cumulative count of Article Views (full-text article views including HTML views, PDF and ePub downloads, according to the available data) and Abstracts Views on Vision4Press platform.

Data correspond to usage on the plateform after 2015. The current usage metrics is available 48-96 hours after online publication and is updated daily on week days.

Initial download of the metrics may take a while.