Open Access
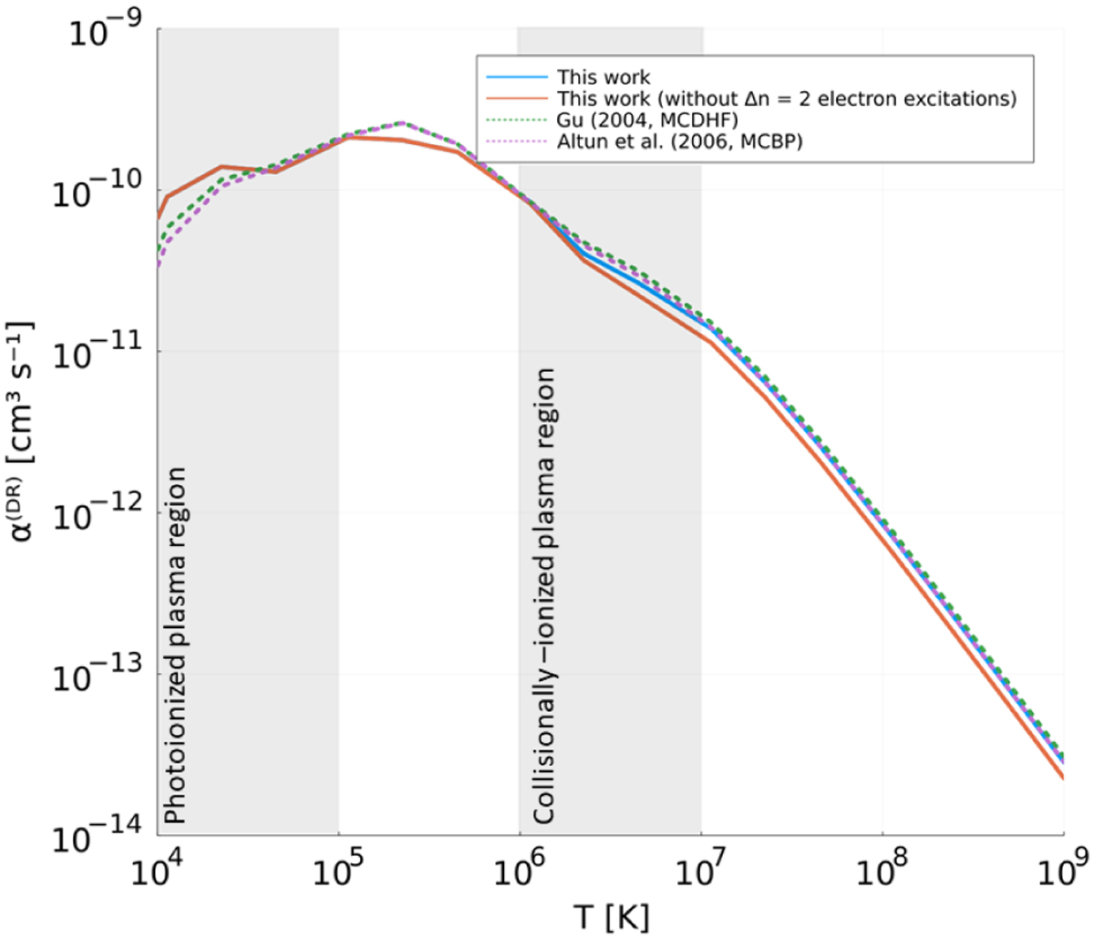
Fig. 2

Download original image
Total plasma DR rate coefficients for initially sodium-like Fe15+ ions. The present results include the Δn = 0, 1 (thick orange line) and 2 (thick blue line) core excitations and are compared to the MCBP computations of Altun et al. (2006; dotted purple line) and the MCDHF computations of Gu (2004; dotted green line).
Current usage metrics show cumulative count of Article Views (full-text article views including HTML views, PDF and ePub downloads, according to the available data) and Abstracts Views on Vision4Press platform.
Data correspond to usage on the plateform after 2015. The current usage metrics is available 48-96 hours after online publication and is updated daily on week days.
Initial download of the metrics may take a while.