Fig. 6

Download original image
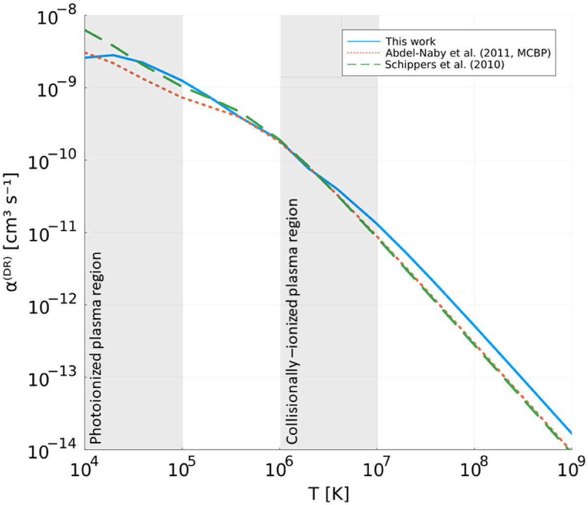
3(s + p) → 3(p + d) and 3(s + p) → 4l plasma DR rate coefficients for initially aluminum-like Fe13+ ions. The present results (thick blue line) are compared with state-of-the-art MCBP computations (Abdel-Naby et al. 2012; orange dotted line) and the heavy-ion storage ring measurements by Schippers et al. (2010; green dashed line).
Current usage metrics show cumulative count of Article Views (full-text article views including HTML views, PDF and ePub downloads, according to the available data) and Abstracts Views on Vision4Press platform.
Data correspond to usage on the plateform after 2015. The current usage metrics is available 48-96 hours after online publication and is updated daily on week days.
Initial download of the metrics may take a while.